一、隔聲屏障降噪原理
聲屏障是降低噪聲的有效措施之一,一般的聲屏障,其聲影區內降噪效果在5~12dB之間。
1 聲學原理
當噪聲源發出的聲波遇到聲屏障時,它將沿着三條路徑傳播(見圖1.a):一部分越過聲屏障頂端繞射到達受聲點;一部分穿透聲屏障到達受聲點;一部分在聲屏障壁面上產生反射。聲屏障的插入損失主要取決於聲源發出的聲波沿這三條路徑傳播的聲能分配。

圖1 聲屏障繞射、反射路徑圖
1.1 繞射
越過聲屏障頂端繞射到達受聲點的聲能比沒有屏障時的直達聲能小。直達聲與繞射聲的聲級之差,稱之為繞射聲衰減,其值用符號△Ld表示,並隨着Φ角的增大而增大(見圖1.b)。聲屏障的繞射聲衰減是聲源、受聲點與聲屏障三者幾何關係和頻率的函數,它是決定聲屏障插入損失的主要物理量。
1.2 透射
聲源發出的聲波透過聲屏障傳播到受聲點的現象。穿透聲屏障的聲能量取決於聲屏障的面密度、入射角及聲波的頻率。聲屏障隔聲的能力用傳聲損失TL來評價。TL大,透射的聲能小;TL小,則透射的聲能大,透射的聲能可能減少聲屏障的插入損失,透射引起的插入損失的降低量稱為透射聲修正量。用符號ΔLt表示。通常在聲學設計時,要求TL—△Ld≥10dB,此時透射的聲能可以忽略不計,即△Lt≈0。
1.3 反射
當聲源兩側均建有聲屏障,且聲屏障平行時,聲波將在聲屏障間多次反射,並越過聲屏障頂端繞射到受聲點,它將會降低聲屏障的插入損失(見圖1.c),由反射聲波引起的插入損失的降低量稱之為反射聲修正量,用符號△Lr表示。
為減小反射聲,一般在聲屏障靠聲源一側附加吸聲結構。反射聲能的大小取決於吸聲結構的吸聲係數α,它是頻率的函數,為評價聲屏障吸聲結構的整體吸聲效果,通常採用降噪係數NRC。
2 聲屏障插入損失計算
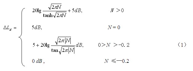
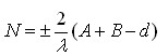
2.1 點聲源
當線聲源的長度遠遠小於聲源至受聲點的距離時(聲源至受聲點的距離大於線聲源長度的3倍),可以看成點聲源,對一無限長聲屏障,點聲源的繞射聲衰減為:


N—菲涅耳數
λ—聲波波長,m
d—聲源與受聲點間的直線距離,m
A—聲源至聲屏障頂端的距離,m
B—受聲點至聲屏障頂端的距離,m
若聲源與受聲點的連線和聲屏障法線之間有一角度β時,則菲涅耳數應為
N(β)=Ncosβ
工程設計中,△Ld可從圖2求得

圖2 聲屏障的繞射聲衰減曲線
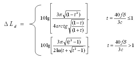
2.2 無限長線聲源,無限長聲屏障
當聲源為一無限長不相干線聲源時,其繞射聲衰減為:
(2)
式中:f— 聲波頻率,Hz
δ= A+B-d為聲程差,m
c—聲速,m/s
二、隔聲屏障設計程序
本項目屏障設計按以下程序進行科學合理的設計:
(1) 確定設計目標值
根據聲環境的要求,確定噪聲防護對象,它可以是一個區域,也可以是一個或一群建築物。
(2) 屏障設計前背景噪聲的確定。
(3) 位置的確定
根據道路與防護對象之間的相對位置、周圍的地形地貌,應選擇最佳的聲屏障設置位置。選擇的原則或是聲屏障靠近聲源,或者靠近受聲點,或者可利用的土坡、堤壩等障礙物等,力求以較少的工程量達到設計目標所需的聲衰減。
(4) 幾何尺寸的確定
根據設計目標值,可以確定幾組聲屏障的長與高,形成多個組合方案,計算
每個方案的插入損失,保留達到設計目標值的方案,並進行比選,選擇最優方案。
聲屏障的幾何形狀主要包括直立型、折板型、彎曲型、半封閉或全封閉型。
(5) 聲屏障插入損失計算
(6) 確定聲屏障隔聲要求
(7) 聲屏障吸聲構造設計
(8) 聲屏障設計調整
若設計得到的插入損失IL達不到降噪的設計目標值,則需要調整聲屏障的高度、長度或聲屏障與聲源或受聲點的距離,或者調整降噪係數NRC。經反覆調整計算直至達到設計目標值。
(9) 聲屏障設計的其他要求
聲屏障設計在滿足聲學性能要求的同時,其結構力學性能、材料物理性能、安全性能和景觀效果,均應符合相應的現行國家標準的規定和要求。






