主編單位:同濟大學
批准部門:中華人民共和國國家計劃委員會
施行日期:1985年6月1日
關於發布《建築隔聲測量規範》的通知
計標[1984]2592號
根據原國家建委(81)建發設字第546號文的要求,由全國聲學標準化技術委員會負責歸口組織,具體由同濟大學編製的《建築隔聲測量規範》,已經全國聲學標準化技術委員會全體會議審查,現批准《建築隔聲測量規範》GBJ75—84為國家標準,自一九八五年六月一日起施行。
本規範由同濟大學負責具體解釋等工作。
國家計劃委員會
一九八四年十二月十七日
編製說明
本規範是根據原國家基本建設委員會(81)建發設字546號文的要求,由全國聲學標準化技術委員會負責歸口組織,具體由同濟大學編製的。
在本規範的編製工作中,規範編製組在認真總結國家科委聲學測試基地通過的《SC4.1隔聲測試規範(試行)》(1964年)公布以來,國內建築隔聲測試工作經驗的基礎上,通過分析驗證國際標準化組織發布的國際標準ISO140Ⅰ—Ⅷ《房屋內和房屋構件的隔聲測量》,提出了規範初稿、發送全國有關單位徵求意見。最後,經全國聲學標準化技術委員會全體會議審查定稿。
本規範共分六章和七個附錄。其主要內容有:總則、建築構件空氣聲隔聲實驗室測量、建築物內兩室之間空氣聲隔聲現場測量、外牆面構件和外牆面空氣聲隔聲現場測量、樓板撞擊聲隔聲實驗室測量和樓板撞擊聲隔聲現場測量等。
在本規範施行過程中,希各單位注意積累資料,總結經驗。如發現需要修改或補充之處,請將意見和有關資料寄交我校,以供今後修訂時參考。
同濟大學
一九八四年八月
主要符號
D 聲壓級差
標準聲壓級差
用交通噪聲測量外牆隔聲時的標準聲壓級差
等效聲壓級
撞擊聲壓級
規範化撞擊聲壓級
未作地面處理時的規範化撞擊聲壓級
標準化撞擊聲壓級
撞擊聲隔聲改善量
Lp 室內平均聲壓級
Lv 試件上平均表面速度級
P 有效(方均根)聲壓
Po 基準聲壓
R 隔聲量,傳聲損失
R’ 表觀隔聲量,表觀傳聲損失
Rθ 聲波從θ角方向入射到試件上的隔聲量
Rtr 用交通噪聲測得的外牆隔聲量
ν 在試件某個位置上的法向表面速度有效(方均根)值
νo 基準速度
法向表面速度平方的空間平均值
W 聲功率(穩態值)
Wx構件K所輻射的聲功率
A接收室的吸聲量
Ao 接收室基準吸聲量
S 試件面積
T 接收室混響時間
T0 基準混響時間
T1 積分時間
V 接收室體積
c 空氣中聲速
n 測點數
r 重複率
s 方差的正的平方根
σ標準偏差
ρ空氣密度
ρc 空氣特性阻抗
σk 輻射效率
η 損耗因數
θ聲波的入射角
ν自由度(ν=n-1)
第一章 總則
第1.0.1條 為統一實驗室和現場對空氣聲和撞擊聲隔聲的測量方法和測量條件,使所測得的同一種構件的隔聲性能儘可能地接近,具備相互可比的統一基礎,便於建築隔聲的設計,特制訂本規範。
第1.0.2條 本規範適用於建築中空氣聲和撞擊聲的實驗室和現場隔聲測量。
第1.0.3條 建築隔聲測量除應執行本規範外,尚應遵守國家現行的有關標準規範。
第二章 建築構件空氣聲隔聲的實驗室測量
第一節 一般規定
第2.1.1條 本章適用於建築物的牆、樓板、門和窗構件的空氣聲隔聲的實驗室測量。
第2.1.2條 建築構件空氣聲隔聲的實驗室測量,應達到下列目的:
一、應能為建築構件的隔聲設計提供可比的和可重複的實驗數據;
二、應能將建築構件按照它們的隔聲特性進行分級分類。
第二節 測試量和計算量
第2.2.1條 室內平均聲壓級應按下式計算:
![]()
式中 Lp——室內平均聲壓級(分貝),(基準聲壓po取20微帕);
——室內第i個測點上的聲壓級(分貝);
n——測點數。
第2.2.2條 隔聲量應按下式計算:
![]()
式中R——隔聲量(分貝);
W1——入射到試件上的聲功率(瓦);
W2——通過試件傳透的聲功率(瓦)。
註:W1和W2都應是穩態值。
若聲場是擴散的和聲音只通過試件傳透,無規入射的隔聲量應按下式計算:
![]()
式中R——隔聲量(分貝);
Lp1 ——聲源室內的平均聲壓級(分貝);
Lp2——接收室內的平均聲壓級(分貝);
S——試件面積( ),一般等於試件孔面積;
A——接收室的吸聲量( )。
註:如聲場不是完全擴散的,則公式的計算值應為近似結果。
第2.2.3條 表觀隔聲量應按下式計算:

式中 R’ ——表觀隔聲量(分貝);
W1——入射到試件上的聲功率(瓦);
W3——傳透到接收室的全部聲功率(瓦)
註:傳透到接收審的全部聲功率W3通常由以下幾部分聲功率組成:
①直接傳入隔牆並且直接從隔牆輻射的聲功率
②直接傳入隔牆但是由側向結構輻射的聲功率
③傳入側向結構但直接從隔牆輻射的聲功率
④傳入側向結構並從側向結構輻射的聲功率
⑤通過漏洞、通風管等傳聲(作為空氣聲)的傳透聲功率
若兩房間聲場是擴散的,表觀隔聲量應按下式計算:

第三節 實驗室和試件
第2.3.1條 實驗室應由兩個相連的混響室構成;在兩個混響室之間應有一個安裝試件的洞口。實驗室的房間應符合下列要求:
一、測試房間的體積不應小於50 ,兩個房間的體積和形狀不應完全相同,其體積相差不應小於10%;
二、房間尺寸的比例應合理選擇,諸尺寸中不應有兩個是相等的,亦不應成整數比;
三、必要時,在兩個測試房間內均應安裝擴散體;
四、接收室內環境噪聲應足夠低,並應估計好聲源室的輸出功率和實驗室內準備安裝的試件隔聲量;
五、在測量隔聲量的實驗裝置中,任何間接傳聲與通過試件的傳聲相比可予以忽略。但聲源室和接收室之間的結構應採取有效的隔振措施,在兩個房間的整個表面上宜覆蓋一層降低聲輻射的襯壁;
六、接收室的低頻混響時間應控制在2秒左右。
第2.3.2條 試件洞口應符合下列要求:
一、試件牆的面積取10平方米,試件樓板的面積宜取10~20平方米,牆與樓板的短邊長度均不應小於2.3米;
註:所考慮的最低頻率的自由彎曲波波長小於試件最小尺寸的一半時,試件可採用較小的尺寸。
二、窗、門及類似的構件,可採用較小的尺寸,裝門的試件洞口應與實際建築物中的條件相同,其下邊位置應靠近實驗室的地面;
三、試件洞口的布置,應使裝置的試件在其周邊和牆板間的正常連接及密封狀況儘可能類似於實際構造形式。其安裝條件應在測試報告中說明。
第2.3.3條 隔牆試件應符合下列要求:
一、試件大小應根據本規範第2.3.2條規定的試件洞口大小確定;
二、試件安裝在聲源室和接收室之間洞口內的位置應予說明;
三、在具有抑制側向結構聲輻射的實驗室內,對任何非直接通路的傳聲與通過試件的傳聲相比可予以忽略。
註:①對於實驗室本身應測量其表觀隔聲量最大值。具體方法是在試件洞口內裝一個高隔聲結構,測量其表觀隔聲量。若進一步改進這一結構的隔聲特性,表觀隔聲量不再增加,即可認為此表觀隔聲量等於表觀隔聲量最大值。
如一個試件的表觀隔聲量測量值 小於實驗室表觀隔聲量最大值 10分貝( - >10分貝),間接傳聲可忽略;該表觀隔聲量即為試件的隔聲量。
如試件表觀隔聲量與實驗室表觀隔聲量最大值之差小於10分貝時( - <10分貝),側向傳聲的作用可按本規範附錄二中所提出的方法之一進行校核。
②若試件小於試件洞口,應進行預備實驗,證明通過周圍隔牆傳聲的能量比通過試件傳聲的能量要小。但應採用本規範附錄二中第一種方法進行校核。
第2.3.4條 門和窗等測試構件應符合下列要求:
一、應採取與本規範第2.3.3條相同的方法進行試驗;
二、若試件比試件洞口小,應將一個有足夠隔聲量的特製隔牆裝在試件洞口內,試件放在特製的牆內。通過特製的隔牆和其它間接途徑的傳聲與通過試件的傳聲相比,可予以忽略。
三、對門、窗等構件的面積,應按構件單體開孔面積計算(包括可能用到的框架與密封裝置);
四、安裝門時,應使下部位置盡量接近實驗室地面;
五、若試件可以開、關,應按正常形式安裝成能開啟和關閉的,在實驗之前應至少開、關十次。
第四節 實驗方法和計算
第2.4.1條 聲源室內聲場的產生,應符合下列要求:
一、所用聲源應能發射穩定的聲波,在所考慮的頻率範圍內應有一個連續的頻譜,所採用的濾波器應為1/3倍頻程帶寬;
二、聲源的聲功率應足夠高,使接收室內任一個頻帶的聲壓級比環境噪聲級至少高10分貝;
三、若聲源有兩個或兩個以上的揚聲器同時工作時,這些揚聲器則應安裝在一個箱內,箱的最大尺寸不應超過0.7米,各揚聲器應同相位驅動;
四、揚聲器箱的位置,應合理布置,並與試件有一定距離;通常應放在試件對面的牆角上,並且不應指向試件。
第2.4.2條 平均聲壓級的測量,應符合下列要求:
一、可採用多個固定的傳聲器位置或採用一個具有 積分的連續移動傳聲器來獲得平均聲壓級。傳聲器位置在1/3倍頻程中心頻率高於500赫時可取3點,低於和等於500赫時可取6點;
二、每個傳聲器位置上對每一頻率用5秒的平均時間讀取平均值;
三、所有傳聲器位置離房間界面或擴散體應大於0.7米;
四、如果室內聲壓級變化範圍小於或等於6分貝,可直接以分貝值按算術平均計算平均聲壓級。如果室內聲壓級變化範圍大於6分貝,則應按本規範第2.2.1條規定的方法計算。
五、測量聲壓級用的聲級計或其它測量儀器,應符合現行的國家標準《聲級計的電聲性能及測試方法》中2型或2型以上聲級計的有關規定。
第2.4.3條 測量的頻率範圍應符合下列要求:
一、宜採用1/3倍頻程頻帶的濾波器測量聲壓級.濾波器的頻率特性應遵守現行的國家標準《聲和振動分析用1和1/3倍頻程濾波器》的規定。
二、測量1/3倍頻程時,應採用以下中心頻率:
100、125、160、200、250、315、400、500、630、800、1000、1250、1600、2000、2500和3150(赫)。
第2.4.4條 接收室的吸聲量的測量和計算,可採用下列方法之一:
一、在公式(2.2.2-2)中包括的吸聲量的修正項,可按現行的國家標準《混響室法吸聲係數測量規範》的規定測量混響時間.傳聲器位置宜取3個,每個位置至少作2次混響時間分析。吸聲量應按下式計算:

式中A——接收室的吸聲量( );
V——接收室體積( );
T60——混響時間(秒)。
二、測量一個有足夠穩定和已知輸出功率的聲源在該室內的平均聲壓級。
第2.4.5條 在測量中,應考慮下列影響測量結果重複性的必要技術條件:
一、擴散體的數目和大小;
二、聲源的位置;
三、傳聲器和聲源以及傳聲器和房屋界面之間的最小距離;
四、傳聲器位置的數目或採用移動傳聲器時傳聲器的移動路徑;
五、讀取聲壓級的平均時間;
六、確定吸聲量的方法,包括在每個測點上重複讀數的次數。
第五節 結果表達
第2.5.1條 隔聲量測量結果的精密度,應以所達到的重複率來表示。
註:①所用測量方法應達到滿意的重複率.有關重複率的說明及暫定數值要求,可按本規範附錄二測量結果的精密度和精密度要求執行。
②不同單位應定期對同樣試件進行比較測量,以檢驗他們的實驗方法的重複率。
第2.5.2條 試件空氣聲隔聲性能的表達,應採用表格或曲線形式給出所有測量頻率的隔聲量。在縱座標以分貝為單位的聲壓級和橫座標以頻率為對數刻度的圖上畫出,頻率比10∶1的長度應等於縱座標25分貝或50分貝的長度。
第2.5.3條 實驗報告宜包括下列內容:
一、進行測量的單位名稱;
二、測試日期;
三、畫出試件剖面圖和寫明結構情況及安裝條件,包括大小、厚度、單位面積質量、構件的養護時間等;
四、兩個混響室的體積;
五、所用噪聲源和濾波器的類型;
六、按頻率給出試件的隔聲量;
七、對測試方法和設備的細節作一簡單說明;
八、由於環境噪聲(聲或電的)而使某一頻帶的聲壓級不能有效地測出時,應給出該頻帶隔聲量不低於多少分貝的下限值;
九、從隔聲特性曲線進行單值評價的估算時,應註明該值是根據實驗室方法獲得的測量結果。
第2.5.4條 實驗報告在必要時還應包括下列內容:
一、若側向傳聲已影響隔聲量的測量結果,應給出表觀隔聲量最大值,且應註明側向傳聲對結果的影響。空氣聲隔聲的側向傳聲測量可按附錄三的規定進行。
二、若需要測量試件的總損耗因數ηt,可採用表格或曲線形式給出所有頻率的測量結果。
第三章 建築物內兩室之間空氣聲隔聲的現場測量
第一節 一般規定
第3.1.1條 本章適用於基本上達到擴散聲場條件下,兩鄰室之間的內隔牆、樓板和門的空氣聲隔聲性能的現場測量,以及確定對房屋使用者所提供的隔聲效果。
註:如果現場的聲學條件很不擴散,則要求用加裝擴散體的方法進行。
第3.1.2條 按本方法測得的結果,應能用於比較兩個房間之間的隔聲性能,並將實際隔聲效果與規定要求作比較。
在確定為房屋使用者提供隔聲效果時,宜採用標準聲壓級差。
在確定房屋構件隔聲特性時,宜採用表觀隔聲量。
第二節 測試量和計算量
第3.2.1條 室內平均聲壓級的計算,應按本規範第2.2.1條進行。
第3.2.2條 在兩室中的一個房間內裝有一個或多個聲源時,兩室間所產生的空間和時間平均的聲壓級差,應按下式計算:

式中D——聲壓級差(分貝);
Lp1——聲源室內的平均聲壓級(分貝);
Lp2——接收室內的平均聲壓級(分貝);
第3.2.3條 相應於接收室內某一混響時間基準值的標準聲壓級差,應按下式計算:

式中 ——標準聲壓級差(分貝);
T——接收室內的混響時間(秒);
T0——基準混響時間(秒),對於住宅To宜取0.5秒。
註:如果兩房間具有不同的體積,則 與傳聲方向有關。在給出結果時應同時註明傳聲方向。
第3.2.4條 表觀隔聲量的計算,應按本規範第2.2.3條進行。
註:①在計算門的表觀隔聲量時,面積S是指包括門框在內的總開孔面積。並須證明通過周圍牆的傳聲可以忽略。
②在相鄰房間公共牆有交錯時,面積S是指兩個房間所共有部分的隔牆面積。
第三節 實驗安排
第3.3.1條 在現場測量中,試件面積和房間體積及形狀可不加限制。
在相同尺寸的兩小空室之間進行測量時,可在每個房間內加裝擴散體。但這些擴散體應與建築物有良好隔振,例如將擴散體放在彈性墊上。
第四節 實驗方法和計算
第3.4.1條 聲源室內聲場的產生,宜符合本規範第2.4.1條規定。但所採用的濾波器可為1/3倍頻程或1倍頻程帶寬。
如試件為樓板時,聲源室應布置在樓下。
第3.4.2條 平均聲壓級的測量,宜符合下例要求:
一、可採用多個固定傳聲器位置或採用一個具有 積分的連續移動傳聲器來獲得平均聲壓級,通常傳聲器位置不宜少於無規分佈的三點
二、每個傳聲器位置上,宜對每一頻率用5秒的平均時間讀取平均值;
三、所有傳聲器位置離房間界面或擴散體應大於0.5米;
四、當任何頻帶在接收室的聲壓級高出環境噪聲級不到10分貝時,應即測量聲源正在發聲時接收室的聲壓級,及發聲之前或之後的環境噪聲級,並宜按表3.4.2加以修正。
聲壓級讀數的修正表3.4.2
| 聲源工作時測得的聲壓級與單獨環境噪聲級之間的差值 | 從聲源工作時測得的聲壓級中減支的修正項以獲得僅由聲源產生的聲壓級 (分貝) |
| <3 3 4~5 |
測量無效 3 2 |
| 6~9 >10 |
1 0 |
註:上述修正項應用於每一組讀數上。
第3.4.3條 測量的頻率範圍,應符合下列規定:
一、宜採用1或1/3倍頻程頻帶濾波器測量聲壓級。濾波器的頻率特性應遵守現行的國家標準《聲和振動分析用1/1和1/3倍頻程濾波器》的規定。
二、測量1/3倍頻程時,應採用以下中心頻率:
100、125、160、200、250、315、400、500、630、800、1000、1250、1600、2000、2500、3150(赫)。
三、測量1倍頻程時應採用以下中心頻率:
125、250、500、1000、2000(赫)。
第3.4.4條 吸聲量的測量和計算,應採用本規範第2.4.4條所規定的方法進行。
第3.4.5條 在測量中,應根據本規範第2.4.5條的規定,考慮影響測量結果重複性的必要技術條件。
第五節 結果表達
第3.5.1條 隔聲量測量結果的精密度,應以所達到的重複率和復現率來表示。
第3.5.2條 試件的表觀隔聲量或兩室之間的標準聲壓級差的表達,應遵守本規範第2.5.2條的規定。
第3.5.3條 實驗報告宜包括下列內容:
一、進行測量的單位名稱;
二、測試日期;
三、建築結構和實驗裝置的描述,如果沿試件表面有傢具布置也應有說明或圖示;
四、兩個房間的體積;
五、所用噪聲源和濾波器的類型;
六、按頻率給出兩室之間試件的現場表觀隔聲量或標準聲壓級差,兩者中取較適宜的一個表示;
七、計算表觀隔聲量所用的試件面積;
八、測試方法和裝置細節的簡單說明;
九、由於環境噪聲(聲和電的),而使某一頻帶的聲壓級不能有效地測出時,應給出該頻帶隔聲量不低於多少分貝的下值。
第四章 外牆面構件和外牆面空氣聲隔聲的現場測量
第一節 一般規定
第4.1.1條 本章適用於某些特定聲學條件下外牆空氣聲隔聲性能的現場測量,以及確定外牆給房屋使用者所提供的隔聲效果。
第4.1.2條 本章中所指試件系指裝在外牆上的構件(例如窗)或是外牆本身(例如整個外牆面)。
第4.1.3條 為了確定現有聲學條件下的隔聲效果,應按本章第二節採用交通噪聲的方法進行測量。
第4.1.4條 為了確定外牆的隔聲性能,應按本章第三節採用揚聲器噪聲的方法進行測量。
註:由於入射聲性質不同,兩種方法的結果不會完全一致。
第二節 交通噪聲測量隔聲
第4.2.1條 聲場的產生,宜採用由不同方向且聲強有變化地入射到試件上的現有交通噪聲作為激發聲源。
第4.2.2條 在相同時刻測量試件兩側各頻率的等效聲壓級來確定外牆的交通噪聲隔聲量時,應按下式計算:
![]()
式中Rtr——交通噪聲隔聲量(分貝);
1——試件面前2米處包括試件反射效應在內的等效聲壓級(分貝):
2——接收室內平均的等效聲壓級(分貝);
S——試件面積( ㎡ ),指從接收室內所看到的整個立面的面積;
A——接收室的吸聲量( ㎡)。
註:只有交通線路足夠長而且直,保證入射聲比較均勻地分佈,仰角不超過50°時,方可採用式(4.2.2)。
第4.2.3條 在不考慮外牆構造、表面面積或它相對於噪聲源的位置,而只要求測量它所提供的隔聲效果時,應採用交通噪聲標準聲壓級差,其計算應按下式進行:

式中 ——交通噪聲標準聲壓級差(分貝);
T——接收室內實測混響時間(秒);
To——基準混響時間(秒),對於住宅To宜取0.5秒。
第4.2.4條 等效聲壓級的測量,應符合下列要求:
一、等效聲壓級應按下式計算:

式中 ——等效聲壓級(分貝);
Lp——隨時間變化的瞬時聲壓級;
T——某段時間的總和。
註:①等效聲壓級可採用一個適當的積分器或近似地用一個噪聲統計分佈分析器來測定。
②積分或統計的取樣時間至少取5秒。
二、等效聲壓級應同時在試件兩邊測量,例如用一個兩通道磁帶機記錄聲信號,並在同一時間間隔內計算這兩個信號。
三、測量室外等效聲壓級時,傳聲器應放在試件前面約2米處。
註:若試件前有一個陽台,就不能用此法來確定試件的隔聲量.至於包括陽台在內的總隔聲效果,可採用將傳聲器放在陽台前2米處並採用式(4.2.2)來確定。
四、測量等效聲壓級時,若將傳聲器放在緊靠外牆面時,傳聲器的軸應與試件平行。這時按式(4.2.2)或式(4.2.3)計算的交通噪聲隔聲量或交通噪聲標準聲壓級差之值中應分別減去3分貝。
五、接收室內的等效聲壓級應為空間與時間的平均值.這個平均值可採用多個固定傳聲器位置(通常取無規分佈的6個位置)或一個用遙控可動傳聲器改變不同位置得到。傳聲器的位置
離試件應大於1米,離房間其它界面應大於0.5米。第4.2.5條 測量的頻率範圍應採用本規範第3.4.3條的規定。
第4.2.6條 接收室的吸聲量的測量和計算,應按本規範第2.4.4條所規定的方法進行。
第4.2.7條 在測量中,應考慮下列影響測量結果重複性的必要技術條件:
一、室外
1交通噪聲源;
2傳聲器相對於試件的位置。
二、室內
1在傳聲器和房屋界面特別是與試件表面之間的最小距離;
2傳聲器位置的數目;
3測量聲壓級時所採用的平均時間;
4確定吸聲量的方法,包括在每個位置上重複讀數的次數。
第4.2.8條 不同單位應定期對同樣實驗對象進行比較測量,以校核其實驗方法的重複率和復現率。
第4.2.9條 外牆對交通噪聲的空氣聲隔聲效果的表達,應遵守本規範第2.5.2條的規定。
第4.2.10條 實驗報告應包括下列內容:
一、進行測量的單位名稱;
二、測試日期;
三、試件的描述,包括剖面圖和給出安裝細節;
四、說明交通情況和等效聲壓級 1;
五、建築物的有關平面圖,並標出試件位置與車流線路的關係;
六、接收室的體積和吸聲量;
七、確定等效聲壓級的方法,包括所用時間間隔和如果利用噪聲分佈分析儀時所用的分級寬度在內;
八、所用濾波器的類型;
九、按頻率給出試件的交通噪聲隔聲量或交通噪聲標準聲壓級差中的任一個,但應予說明;
十、計算交通噪聲隔聲量時所用的外牆面積:
十一、測試方法和設備細節的簡要說明;
十二、由於環境噪聲(聲和電的)而使某一頻帶的聲壓級不能有效地測出時,應給出該頻帶隔聲量不低於多少分貝的下限值。
第三節 揚聲器噪聲測量隔聲
第4.3.1條 聲場的產生,宜採用從一個方向入射到試件上的揚聲器發出的噪聲作為激發聲源。揚聲器應放置在建築物外面距試件一個合適距離處,其確定方法宜按附錄六的規定進行。
第4.3.2條 測量貼近試件前面的平均聲壓級和接收室內的平均聲壓級來確定外牆的揚聲器噪聲隔聲量,其值宜按下式計算:

式中 Rθ——在θ入射角下的隔聲量(分貝);
θ——入射角,指向試件中心的揚聲器軸和試件表面法線間的角度;
——貼近外牆試件表面但不考慮試件反射效應時的平均聲壓級(分貝);
——接收室內的平均聲壓級(分貝);
S——試件面積(㎡ );
A——接收室的吸聲量( ㎡)。
第4.3.3條 現場實驗中,外牆試件面積及接收室體積和形狀可不加限制。
第4.3.4條 聲場的產生應符合下列要求:
一、所用噪聲在考慮的頻率範圍內應穩定而有連續的頻譜;
二、採用1或1/3倍頻程帶寬的濾波器;
三、試件表面的局部聲壓級差異不應超過5分貝;
四、測量應在45°入射角條件下進行。此外也可加測0°、15°、30°、60°、75°入射角時的隔聲量。
第4.3.5條 平均聲壓級的測量,應符合下列要求:
一、貼近外牆面的平均聲壓級 應使用下列方法測量:在其它條件基本相同但沒有測試牆的自由場內,按測量時相同的位置放置揚聲器和傳聲器,然後測出相當於測試牆表面處的平均聲壓級 。
註:若試件前面有一個陽台,可得到所給入射角條件下由試件和陽台提供的綜合隔聲效果。
二、揚聲器的聲輻射在隔聲測量與作聲校準時不應有變化。
註:這可採用一個傳聲器放在距揚聲器約1米處的輻射軸上或測量揚聲器輸入電流來進行校核。
三、接收室內的聲壓級應是一個空間與時間的平均,可採用多個固定的傳聲器位置(通常取無規分佈的6個位置)或採用一個具有 積分的連續移動傳聲器來獲得平均聲壓級.傳聲器位置離試件應大於1米,離房間其它界面應大於0.5米.每個傳聲器位置上宜對每一頻率用5秒的平均時間讀取平均值。
四、接收室內任一個頻帶的聲壓級高出環境噪聲級不到10分貝時,應立即測量聲源正在發聲時接收室的聲壓級及發聲之前或之後的環境噪聲級,並宜按表3.4.2加以修正。
第4.3.6條 測量的頻率範圍,應符合本規範第3.4.3條規定。
第4.3.7條 接受室的吸聲量的測量和計算,應按本規範第2.4.4條所規定的方法進行。
第4.3.8條 在測量中,應考慮下列影響測量結果重複性的必要技術條件:
一、室外
1揚聲器相對於試件的位置;
2揚聲器的指向性;
3入射角度;
4揚聲器的校準。
二、室內
1傳聲器和房間界面特別是與試件之間的最小距離;
2傳聲器位置的數目,或採用移動式傳聲器時傳聲器的移動路徑;
3讀取聲壓級的平均時間;
4確定吸聲量的方法,包括在每個位置上重複讀數的次數。
第4.3.9條 外牆用揚聲器發聲測得的空氣聲隔聲效果的表達,應遵守本規範第2.5.2條的規定。
隔聲量應標明入射角度,例如45°入射角時的隔聲量寫作 。
第4.3.10條 實驗報告宜包括下列內容:
一、進行測量的單位名稱;
二、測試日期;
三、試件的描述,包括剖面圖和給出安裝細節;
四、建築物的有關平面圖,並標出試件位置;
五、接收室的體積和吸聲量;
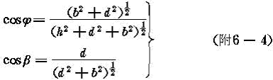
六、揚聲器的布置,包括入射聲的角度θ和揚聲器相對於試件的位置(即試件高度、揚聲器至外牆面的距離和橫向位移,或是仰角φ和方位角β);
七、所用噪聲和濾波器的類型;
八、試件在一定入射角下的隔聲量與頻率的函數關係;
九、計算一定入射角下隔聲量所用到的試件面積;
十、測試方法和設備細節的簡要說明;
十一、由於環境噪聲(聲和電的)而使某一頻帶的聲壓級不能有效地測出時,應給出該頻帶隔聲量不低於多少分貝的下限值。
第五章 樓板撞擊聲隔聲的實驗室測量
第一節 一般規定
第5.1.1條 本章適用於採用標準撞擊器對建築物的樓板撞擊聲隔絕的實驗室測量。
第5.1.2條 按本章方法測得的結果應能用於比較樓板的撞擊聲隔聲特性,並按照它們的隔聲特性將樓板進行分類。
第5.1.3條 本章適用於確定標準條件下樓板面層對降低撞擊聲效果的測量。
第二節 測試量和計算量
第5.2.1條 室內平均聲壓級的計算,應按本規範第2.2.1條進行。
第5.2.2條 當測試樓板用一個標準撞擊聲源激發時,由接收室內某一規定頻帶的平均聲壓級來確定該樓板的撞擊聲壓級。
第5.2.3條 規範化撞擊聲壓級應按下式計算:

式中 ——規範化撞擊聲壓級(分貝);
——接收室內的平均撞擊聲壓級(分貝);
A——接收室的吸聲量( ㎡ );
A0——等效吸聲量,宜取10 。
註:在不能確定所得結果是否有側向傳聲時的所有情況下,標準化撞擊聲壓級應採用 表示。現場測量結果宜採用 。
第5.2.4條 在地板面層鋪放之前和之後,接收室內對其一規定頻帶的平均聲壓級差,應按下式計算:

式中Lp——撞擊聲壓級改善量(分貝);
——接收室內未鋪地面層時的規範化撞擊聲壓級;
——鋪地面層時的規範化撞擊聲壓級。
註:①如果測試時,接收室內的聲吸收不變,可把撞擊聲壓級改善量看作等於規範化撞擊聲壓級改善量。
②對小尺寸地面層試件測試時,接收室內可只採用一個傳聲器位置。
第三節 實驗室和試件
第5.3.1條 接收室應符合下列要求:
一、體積應大於50 ;
二、房間尺寸的比例應合理地選擇,諸尺寸中不應有兩個是相等的,亦不應成整數比;
三、必要時,在測試的接收房間內應安裝擴散體;
四、接收室內環境噪聲級應足夠低,並應能測量出傳來的撞擊聲。這時要考慮到撞擊器的性能和實驗室內待測試件的隔聲性能。
五、接收室和聲源室之間空氣聲隔聲應足夠高,使接收室內測得的聲場僅由撞擊激發試驗樓板所產生。即從聲源室到接收室內的空氣傳聲的聲級,應至少比撞擊傳聲的聲級在每個頻帶都低10分貝。
六、在具有抑制側向結構輻射聲音的實驗室內,任何間接通路所傳過的聲音與通過試件所傳過的聲音相比,可予以忽略。
註:作為面層的撞擊聲壓級改善量測量時,聲源室的大小和形狀可不作嚴格規定。
第5.3.2條 試件洞口應符合下列要求:
一、樓板的試件洞口面積宜在10 到20 之間;
二、短邊的長度不宜小於2.3米。
註:如測量樓板面層的撞擊聲壓級改善量時,則試件洞口可不需採取特別措施。
第5.3.3條 樓板試件應符合下列要求:
一、試件大小應按本規範第5.3.2條規定的試件洞口大小確定;
二、試件大小和組成部件宜接近現場樓板實際裝置的大小;
三、宜採取類似實際結構的條件來安裝試件,在試件周圍和試件內部的節點,應仔細模擬常用的連接與密封方法。安裝條件應在實驗報告中說明。
四、鋪放試驗地面面層的樓板應為120±20毫米厚的鋼筋混凝土板,並應是均質的和厚薄一致的。樓板面積從接收室看應至少10 。在聲源室一邊,鋪放Ⅰ類面層的允許試件面積,應距樓板邊界至少0.5米;
五、實驗樓板的表面應相當平整,在200毫米水平距離之內平整度應達到±毫米,且應足夠的堅硬以保證撞擊器的撞擊。如果地面上做一層找平層,則所有各點應完全粘接,並應不碎、不裂和不因受撞擊而成粉末。
第5.3.4條 地面面層的試驗樣品大小,根據地面面層的類型,可略大於撞擊器或與房間尺寸相同。地面面層的試驗樣品,可按下列要求分類:
一、Ⅰ類(小樣品)包括柔軟面層(塑料、橡皮、軟木、席墊或它們的組合),可散鋪或粘貼到樓板表面.報告中應明確說明裝置方法.
二、Ⅱ類(大樣品)包括硬的均勻表面材料或至少一層是硬的複合地面層。鋪放這種地面層時可在加負載下進行測試。在此情況下,平均負載應是100千克/ (圖5.3.4)。
三、Ⅲ類(卷材)包括從牆到牆鋪滿樓板的柔軟面層,應採用大樣品進行測試,但不需加負載。
四、當材料沒有合適類型可歸類時,宜由測試實驗室決定採用小的或大的樣品進行測試。
第5.3.5條 地面面層試驗樣品的安裝,應符合下列要求:
一、粘貼的面層應仔細鋪放,並應作整個表面粘貼;若分格粘貼小塊時,應確切說明所用方法;用量和敞露時間應按照所用粘結材料製造廠的說明書施工。報告上應說明粘貼類型及敞露時間。

圖5.3.4類樓板面層的典型負載布置示意圖
註:載重可採用每個近似50千克的混凝土塊。其大小為290×290×280毫米。A是由4個50×50毫米的腳支持的,共負載6個重塊,B代表2個重疊的重塊。
二、實驗前應保證固化時間。如混凝土浮築面層,應在常規養護時間(通常為三周)以後進行測試。
三、根據不同類型地面層材料決定樣品的大小及數目。對Ⅰ類材料,應鋪放三個樣品,宜取自同一來源的不同生產線上。每個樣品應足夠大,足以放下整個撞擊器。
對Ⅱ類和Ⅲ類材料,應滿鋪從牆到牆的整個樓板表面,或面積不應少於10 ,其中短邊長度不應小於2.3米。
四、應測量和寫明樓板表面的中心溫度及聲源室的空氣溫度。樓板溫度宜為18~25℃
第5.3.6條 實驗採用的標準撞擊聲源——撞擊器,應符合下列要求:
一、撞擊器應有5個鎚子,排列在一直線上,兩錘的中心距離應為10厘米;
二、連續兩次撞擊之間的時間應是100±5毫秒,每個鎚子的有效質量應是0.5千克(公差±2.5%);
三、在平的地面上每錘應有等於4厘米無摩擦的自由下落距離(公差±2.5%);
四、撞擊樓板的鎚頭部分應是黃銅或鋼製的、直徑為3厘米的圓柱體,其頂端宜為50厘米半徑的球面;
五、必要時鎚頭可粘合一個橡皮頭,其外形應和黃銅或鋼的鎚頭一樣。這個橡皮層一面為平面,另一面為曲面,其最大厚度應為5毫米,曲面部分應粘在或硫化在金屬鎚頭上;
橡膠的組成應符合表5.3.6的要求,其硫化時間在140℃(290千帕)下應為45分鐘;
六、撞擊器的支腳與鎚子直線間的距離,不應小於10厘米。
鎚頭橡膠的組成 表5.3.6
| 配料 | 質量比 |
| 天然橡膠 | 100 |
| 氧 化 鋅 | 15 |
| 硬 脂 酸 | 2 |
| 炭黑 | 40 |
| 苯基-β-萘胺 | 1 |
| 硫化加速劑 | 1.2 |
| 二苯基胍 | 0.4 |
| 硫 | 3 |
第四節 實驗方法和計算
第5.4.1條 撞擊聲應由符合本規範第5.3.6條的撞擊器產生。
在光裸樓板上或在浮築樓板上,測量時間宜相當短,以保證表面不被破壞。在一個彈性面層上撞擊時,應在噪聲級達到穩定時開始測量。
第5.4.2條 撞擊聲壓級的測量,應按下列規定進行:
一、接收室內的撞擊聲壓級應為空間和時間的平均值,這個平均值可採用多個固定傳聲器位置(對每個撞擊器位置宜採用一個或一個以上的傳聲器位置)或一個具有 積分的連續移動傳聲器來獲得;
二、指示儀錶應能讀出有效聲壓或相應的聲壓級;在每個傳聲器位置上的每個頻帶用5秒的平均時間讀取平均值;
註:若使用聲級計,應該符合現行的國家標準《聲級計的電聲性能及測試方法》中2型或2型以上聲級計的規定,並宜採用“慢檔”測量。
三、包括傳聲器在內的全部測量系統在每一系列測量前,應進行校準;
註:在平面行波聲場中校準的聲級計,必須加上擴散聲場修正。
四、接收室內任一頻帶的聲壓級高出環境噪聲級不到10分貝時,應立即測量聲源正在發聲時接收室內的聲壓級及發聲之前或之後的環境噪聲級,並宜按表3.4.2加以修正。
第5.4.3條 測量的頻率範圍,應遵守本規範第2.4.3條的規定。
第5.4.4條 接收室的吸聲量的測量和計算,應按本規範第2.4.4條所規定的方法進行。
第5.4.5條 撞擊器的位置應符合下列規定:
一、撞擊器在樓板試件上應至少放置4個不同的位置;
二、對各向異性的樓板結構(如有梁或肋等),一排錘的連線應與梁或肋的方向成45°角。撞擊器位置與樓板邊界和各撞擊器位置之間的距離應不小於0.5米;
三、撞擊器若放在一個彈性很好的面層上,在撞擊器支腳下面宜採用一個硬墊,以保證錘有4厘米的下降量。
第5.4.6條 測量樓板面層的撞擊聲壓級改善量時,撞擊器應放在面層樣品之上,錘接觸樣品的位置應至少距樣品邊100毫米。
一、對Ⅰ類材料。撞擊器應放在面層樣品上和樣品兩側的光裸實驗樓板上,並盡量靠近。一排錘的軸線,應平行於樣品的長方向(圖5.4.6)。

圖5.4.6 類地面材料樣品的典型實驗布置示意圖
註:小圈分別標記撞擊器鎚頭應當撞擊光裸樓板或者面層樣品的位置。對每種地面面層樣品來說,相應的光裸樓板撞擊聲壓級是在所鋪樣品兩側的兩個撞擊器位置上測定的聲壓級的算術平均值。
二、對Ⅱ類和Ⅲ類材料,撞擊器應先後放在光裸樓板和全部鋪滿樓板面層的樓板上,撞擊器位置不應靠近樓板邊緣(0.5米以外)或房間角上。
每組測量(光裸樓板和鋪面層的樓板)的撞擊器位置應盡量多些.以達到可靠平均值所必需的數量。但在任何情況下位置數目不應少於3點。
第5.4.7條 在測量中,應考慮下列影響測量結果重複性的必要技術條件:
一、擴散體的數目和大小;
二、撞擊器的位置;
三、傳聲器和房間界面之間的最小距離;
四、傳聲器位置的數目或採用移動傳聲器時傳聲器的移動路徑;
五、讀取聲壓級的平均時間;
六、確定吸聲量的方法,包括在每個測點上重複讀數的次數。
第五節 結果表達
第5.5.1條 對試件撞擊聲隔聲性能的表達,應採用表格或曲線形式給出所有測量頻率的歸一化撞擊聲壓級。曲線圖的格式.應遵守本規範第2.5.2條的規定。
第5.5.2條 所用測量方法應達到滿意的重複性。
註:重複率的暫定數值,宜符合本規範附錄四的要求。
第5.5.3條 實驗報告宜包括下列內容:
一、進行測量的單位名稱;
二、測試日期;
三、樓板結構和安裝條件的說明,包括尺寸和側向結構的剖面圖;
四、接收室的體積;
五、所用濾波器的類型;
六、按頻率給出樓板試件的歸一化撞擊聲壓級;
七、所用鎚頭的類型(用或不用橡皮頭);
八、由於環境噪聲(聲和電的)或空氣聲的透射而使某一頻帶的聲壓級不能有效地測出時.應給出該頻帶撞擊聲壓級不高於多少分貝的限值;
九、如測量中受到側向傳聲的影響而成為 時,可按附錄四的規定進行。並應詳細說明側向傳聲測量結果中包括了哪些部分傳聲。
第六章 樓板撞擊聲隔聲的現場測量
第一節 一般規定
第6.1.1條 本章適用於採用標準撞擊器對建築物內兩室之間樓板撞擊聲隔聲的現場測量,以及確定樓板對房屋使用者所提供的隔聲效果。
第6.1.2條 按本章方法測得的結果應能用於比較兩室之間樓板撞擊聲隔聲特性,並將實際撞擊聲隔聲效果與規定要求進行比較。
第6.1.3條 在確定建築物構件的撞擊聲隔聲特性時,宜採用歸一化撞擊聲壓級。
在確定建築物對居住者所提供的隔聲效果時,宜採用標準化撞擊聲壓級。
第二節 測試量和計算量
第6.2.1條 室內平均聲壓級的計算,應按本規範第2.2.1條進行。
第6.2.2條 撞擊聲壓級的確定,應按本規範第5.2.2條進行。
第6.2.3條 規範化撞擊聲壓級的計算,應按本規範第5.2.3條進行。
第6.2.4條 標準化撞擊聲壓級應按下式計算:

式中 ——標準化撞擊聲壓級(分貝)。
第6.2.5條 撞擊聲壓級改善量的計算,應按本規範第5.2.4條進行。
第三節 實驗安排
第6.3.1條 測試用標準撞擊聲源即撞擊器的規格,應符合本規範第5.3.6條的規定。
第6.3.2條 在現場測量中,試件面積和房間體積及形狀可不加限制。
第四節 實驗方法和計算
第6.4.2條 撞擊聲的產生,應符合本規範第5.4.1條的規定。
第6.4.2條 撞擊聲壓級的測量,應按本規範第5.4.2條的規定進行。
第6.4.3條 測量的頻率範圍,應符合本規範第3.4.3條的規定。
第6.4.4條 接收室的吸聲量的測量和計算,應採用本規範第2.4.4條規定的方法進行。
第6.4.5條 撞擊器的位置,應符合本規範第5.4.5條的規定。
第6.4.6條 在測量中,應考慮到本規範第5.4.7條所指明的影響測量結果重複性的必要技術條件。
第五節 結果表達
第6.5.1條 對試件撞擊聲隔聲性能的表達,應採用表格或曲線形式,給出所有測量頻率的歸一化撞擊聲壓級結果。
對建築物使用者所提供的撞擊聲隔聲效果的表達,應採用表格或曲線形式,給出所有測量頻率的標準化撞擊聲壓級結果。
曲線圖的格式,應遵守本規範第2.5.2條的規定。
一、進行測量的單位名稱;
第6.5.2條 實驗報告宜包括下列內容:
二、測試日期;
三、樓板結構和安裝條件的說明,包括尺寸和側向結構的剖面圖;
四、接收室的體積;
五、所用濾波器的類型;
六、按頻率給出樓板試件的歸一化現場撞擊聲壓級或標準化現場撞擊聲壓級,選擇合理的一種列出;
七、測試方法和裝置細節的簡單說明,包括所用鎚頭類型(用或不用橡皮頭);
八、由於環境噪聲(聲或電的)或空氣聲的透射而使某一頻帶的聲壓級不能有效地測出時.應給出該頻帶撞擊聲壓級不高於多少分貝的限值;
九、若測量側向傳聲,可按附錄四的規定進行,並應盡量詳細說明側向傳聲測量結果中包括了哪些部分傳聲。
附錄一 名詞解釋
| 現 用 名 詞 | 曾 用 名 詞 | 說 明 |
| 空氣聲 | 建築物中經過空氣傳播來的噪聲 | |
| 室內平均聲壓級 | 某一聲音的聲壓平方的空間或(和)時間等的平均值與基準聲壓(20微帕)平方比的常用對數乘以10,以分貝計。對聲壓平均的方式應同時指明。空間平均有重要影響。通常是在除去聲源直射區域或界面(牆等)近場有顯著影響(例如離牆1/4波長之內)部分以外的整個房間內進行 | |
| 隔聲量 | 傳聲損失 | 牆或間壁一面的入射聲能與另一面的透射聲能相差的分貝數。通常取空氣聲入射到試件上的聲功率W1對通過試件傳透的聲功率W2之比的常用對數乘上10 |
| 表現隔 聲量 | 表觀傳聲損失 | 空氣聲入射到試件上的聲功率W1對傳透到接收室的全部聲功率W3之比的常用對數乘上10 |
| 聲壓級 差 | 兩室中的一個房間內裝有一個或多個聲源時,兩室間所產生的按空間和時間平均的聲壓級差 | |
| 標準聲壓級差 | 相應於接收室內某一混響時間基準值(0.5秒)的聲壓級差 | |
| 側向傳聲 | 空氣聲或撞擊聲自聲源室不經過共同間壁(牆或樓板等)而傳到接收室的情況 | |
| 等效聲 壓級 | 在指定時間內某一穩態聲具有與隨時間變化的噪聲相同的方均聲壓,則這一穩態聲的聲級就是此時間變化噪聲的等效(連續)聲壓級 | |
| 交通噪聲隔聲量 | 以街道上繁忙交通噪聲作為聲源,測量外牆構件兩側各頻率的等效聲壓級而得出的隔聲量 | |
| 撞擊聲 | 在固體上撞擊而引起的噪聲。尤其指樓板下室內的噪聲。腳步聲是最常聽到的撞擊聲 | |
| 撞擊聲壓級 | 測試樓板被一個標準撞擊聲源——撞擊器激發時,在樓下接收室內某一規定頻帶的平均聲壓級 | |
| 規範化撞擊聲壓級 | 撞擊聲壓級加上一個用分貝計的修正項,它等於接收室實測等效吸聲面積和基準等效吸聲面積(10 )之比的常用對數乘以10 | |
| 標準化撞擊聲壓級 | 在現場(常指住宅內)測得的撞擊聲壓級加上一個用分貝計的修正項,它等於接收室實測混響時間與基準混響時間(0.5秒)之比的常用對數乘以10 | |
| 撞擊聲壓級的改善量 | 在地板面層鋪放之前和之後接收室內對某一規定頻帶的平均聲壓級差值 | |
| 平均表面速度級 | 試件法向方均表面速度的平均對基準速度(10米/秒)平方之比的常用對數乘以10 | |
| 平均表面速度級 | 指真值(期望值)和採用本實驗方法作大量取樣而得出的平均結果間的一致程度。影響結果的實驗誤差中,系統誤差部分越小,這個方法的準確度越高 | |
| 精密度 | 在規定條件下採用本測試方法取得的幾次結果之間的一致程度 | |
| 重複率 | 定性地說,在同樣條件下(同一實驗員、同一儀器和同一實驗室在很短的時間間隔內進行)對同一試件用同樣實驗方法所得多次結果之間的一致程度。定量地說,當規定某一機率時,期望上述條件下兩次測試結果(一對)間的絕對差值要低於某一數值 | |
| 復現率 | 定性地說,同一試件在不同條件下(不同的實驗員、不同儀器、不同的實驗室和不同的時間)用同樣的實驗方法所得結果之間的一致程度。定量地說,不同實驗室中由不同實驗員對同一試件用規定實驗方法,所得兩次測試結果(一對)間的絕對差值要低於某一數值 | |
| 方 差 | 定性地說,一系列隨機結果對它們的平均值的離散程度。定量地說,對一組給定的結果,其每個結果對算術平均值的差值的平方總和除以自由度數目。對接連作n次(不分級)觀測值的簡單事例中,按下式計算方差:
式中: 是方差真值的估計值; n是觀測值x1的次數; 是平均真值的估計值 |
|
| 標準偏差 | 方差的正的平方根s,s是標準偏差真值σ的估計值 | |
| 自由度 | 自由度數目v等於方差表達式中所包含的獨立項數目。在接連n次(不分組)觀測值的簡單事例中v=n-1 | |
| 置信度 | 表達問題真實性的機率。本標準中,用95%置信度 | |
| 損耗因數 | 是一個無量綱量,用它可量度結構被阻尼到何種程度 |
附錄二 測量結果的精密度和精密度要求
為了與現代統計學方法一致,這裡採用整個結果的重複性和復現性這兩個概念.而不用構成測量結果各個量值的偏差。前者提供了一種校核和說明測量結果的精密度的簡單方法。
一、按常規測試時,在許多情況下對一個試件可只進行一次測試.此結果中無法給出具有一定置信度的可靠性數據。為了考慮到可靠性,就要作兩次測試。並對照測試方法的重複率r來校核其結果的差值。如它們的差值小於或等於r,實驗者可認為是在可以控制的條件下工作,就取這兩個結果的平均值來作為待測量的估計值。
一個機構進行常規聲學測試之前,應對實驗方法與實驗裝置所能產生的可靠而可重複的結果的可能性進行校核。這些校核工作應經常重複,特別在實驗方法和實驗裝置有改變的時候。
建議不同的實驗機構進行合作以校核彼此結果的系統重複率。
二、重複率的校核
作為給定條件下空氣聲和撞擊聲隔聲測量的重複率的標準校核方法,應採取下列步驟:
1將6次完整測量結果(例如空氣隔聲量R或標準聲壓級差 等情況)的系列分成成對的組而不改變系列的原始次序。
2按附表2.1的要求對每一對中兩個結果的差,按所有頻率進行比較,如有任一頻率超出這些數值.全部結果作廢,校核方法再全部重做一次。如果第二次還達不到上述指標,可認為實驗方法和實驗裝置不合適,應加以改進使之達到所需的重複率。
3在進行重複率校核測量時,實驗方法的細節不要完全重複,例如用完全相同的傳聲器、揚聲器或撞擊器位置.否則所得r值不能代表實際情況下的結果。這些影響因素應有一些變化,使影響重複率的量(即房間的平均聲壓級)具有獨立而又有代表性的取樣。
對空氣聲隔聲量R和撞擊聲壓級 要求的重複率r附表2.1
| 1/3倍頻程頻帶中心頻率(赫) | 空氣聲r(分貝) | 撞擊聲r(分貝) |
| 100 125 160 200 250 315 400 500 630 800 1000 1250 1600 2000和以上 |
5 5 5 5 3 2 2 2 1 1 1 1 2 2 |
3 2 2 2 2 2 2 2 1 1 1 1 1 1 |
三、重複率的綜合確定
1在給定實驗條件下得到的重複率r與在同樣條件下從大量測試得出的標準偏差σ的關係式宜為

對於足夠大數量的結果,r可用以下近似式

式中,t是從學生分佈得出的因數,取置信度95%和適當的自由度,見附表2.2。s是方差 的正的平方根,是標準偏差σ的估計值。
2按照此法要在一個實驗室內確定重複率是很費力的,因為考慮到需要大約35個自由度才能算出足夠準確的s值。
3若在不同實驗室內對相同結構的各個試件進行大量測試,可以得出標準方法下更可靠的s值。此時,用以計算重複率r的s值可按下式計算:

式中sj——第j個實驗室從nj個陸續(不分組)的結果算出的值;
K——參加的實驗室數目。
4實驗室的數目和每個實驗室內結果的數目應選得使自由度(由上式中平方根內分母所給出)至少為35。因此,每一個實驗室至少需要5次測量結果。確定s的實驗條件應儘可能與本標準方法一致。
置信度95%時計算重複率r的因數t 附表2.2
| 自由度個數 | v t | 自由度個數 | v t | 自由度個數 | v t |
| 1 2 3 4 5 6 7 8 9 10 |
12.706 4.303 3.182 2.776 2.571 2.447 2.365 2.306 2.262 3.228 |
11 12 13 14 15 16 17 18 19 20 |
2.201 2.179 2.160 2.145 2.131 2.120 2.110 2.101 2.093 2.086 |
21 22 23 24 25 26 27 28 29 30 40 60 120 ∞ |
2.080 2.074 2.069 2.064 2.060 2.056 2.052 2.048 2.045 2.042 2.021 2.000 1.980 1.960 |
附錄三 空氣聲側向傳聲的測量側向傳聲可採用下面兩個方法之一進行測量。
一、在試件兩側可各加裝一柔性層(例如在獨立分開的框架上釘13毫米石膏板),附加板離試件距離應使該層與空腔所組成的系統的共振頻率遠低於所考慮的頻率範圍。空腔內還應填充吸聲材料。這樣使(1)直接傳入隔牆並直接從隔牆輻射 ,(2)直接傳入隔牆但由側向結構輻射 和(3)傳入側向結構但直接從隔牆輻射 的三部分聲能受到抑制.於是測得的表觀隔聲量由傳入側向結構並從側向結構輻射的聲 所決定,在實驗室條件下假設Wt(縫的)是可以忽略的.在某些特定側向表面上附加柔性層後有可能鑒別出主要側向傳聲途徑。
二、通過測量接收室內試件和側向構件表面振動的平均速度級來確定。
1平均速度級可按下式計算:

式中 Lv ——試件或側向構件表面平均速度級(分貝)(基準速度V0取 米/秒);
——試件上第i個位置上的有效法向表面速度級;
n——測點數。
2測量平均速度級所用振動換能器應很好地貼附在試件表面上,其質量阻抗與表面上的點阻抗相比應足夠低。
3若試件或側向構件的臨界頻率比之要考慮的頻率範圍低,在接收室內第K個構件所輻射的聲功率,可按下式計算:

式中Wk——構件k所輻射的聲功率(瓦);
Sk——構件k的面積( );
——法向表面速度方均值的空間平均;
σk——輻射效率,在臨界頻率以上大概是一個純數1;
ρc——空氣的特性阻抗。
4若側向構件輻射的功率是用此法確定,則可用此測量值按下式來計算總的側向隔聲量:

式中 ——通過直接傳入隔牆但由側向結構輻射和直接傳入側向結構並由它輻射這兩條途徑而得出兩室之間的隔聲量;
W1——入射到試件上的聲功率(瓦);
——直接傳入隔牆但由側向結構向鄰室輻射的聲功率(瓦);
——直接傳入側向結構並由它向鄰室輻射的聲功率(瓦)。
附錄四 撞擊聲側向傳聲的測量
1通過測量接收室內樓板試件和側向構件表面振動的平均速度級來確定。平均速度級可按下式計算:

式中 ——牆或平頂試件表面速度級(分貝),基準速度V0取 米秒;
——牆或平頂試件上第i個位置上的法向表面速度級(分貝);
n——測點數目。
2測量平均速度級所用振動換能器應很好地貼附在試件表面上,其質量阻抗與表面上的點阻抗相比應足夠低。
3若試件或側向構件的臨界頻率比之要考慮的頻率範圍低,在接收室內第k個構件所輻射的聲功率,可按(附3-2)式計算。
4接收室內第K個側向構件所輻射的平均聲壓級,可按下式計算:

式中 ——第k個側向構件所輻射的平均聲壓級(分貝);
——第k個側向構件的平均表面速度(分貝);
Sk——第k個側向構件的面積( )
A——接收室的吸聲量( )。
5所有側向構件合成的聲壓級,可按下式計算:

式中 ——所有側向構件合成的聲壓級(分貝);
——第k個側向構件所輻射的平均聲壓級(分貝)。
附錄五 用“開—關”方法在現場測量外牆構件的空氣聲隔聲
門或窗之類試件的隔聲量可採用只在接收室內測量開啟或關閉試件(如門或窗)時的聲壓級來獲得,這種被稱為“開—關”測量方法只適用於可開啟的試件,且外牆隔聲量顯著地比試件高時的情況。
1採用揚聲器作為噪聲源的方法所確定的外牆構件隔聲量,可按下式計算:

式中 ——用揚聲器作聲源的“開—關”試件方法確定的外牆構件隔聲量(分貝);
——試件開啟和關閉時室內的聲壓級(分貝);
——試件開啟和關閉時室內測得的混響時間(秒)。
2修正項
(分貝)是考慮到接收室內當試件開啟時等效吸聲面積有了改變。
3若這個影響用一個標準聲源產生的平均聲壓級來計算,修正項應改為
(分貝)。
式中A開和A關是室內當試件開啟和關閉時的吸聲量(㎡ )。
4 A開和A關若試件中只有一部分(不小於試件總面積 )是可以打開的,則應在(附5-1)式中另加一個修正項
(分貝)。式中S開為試件能夠打開的那部分面積(㎡ )。
附錄六 測量外牆空氣聲隔聲時揚聲器的位置
1揚聲器放在地上Q點(附圖6-1),其與試件的相對位置,可由試件的高度h、揚聲器和外牆立面的距離d和橫向距離b確定
2入射聲的角度θ應按下式計算:

3在現場為了滿足要求的入射角度,在給定高度h和橫向距離b時,揚聲器需要離牆的距離d應按下式計算:

4在給定高度h和距離d時,橫向距離b應按下式計算:

5揚聲器相對於試件的位置,可分別由仰角φ和方位角β來表示:

入射角θ可按下式計算:

附圖6-1揚聲器相對於試件的位置
附錄七 本規範用詞說明
(一)執行本規範條文時,對於要求嚴格程度的用詞,說明如下,以便在執行中區別對待。
1.表示很嚴格,非這樣作不可的用詞:
正面詞採用“必須”;
反面詞採用“嚴禁”。
2.表示嚴格,在正常情況下均應這樣作的用詞:
正面詞採用“應”;
反面詞採用“不應”或“不得”。
3.表示允許稍有選擇,在條件許可時,首先應這樣作的用詞:
正面詞採用“宜”或“可”;
反面詞採用“不宜”。
(二)條文中指明必須按其他有關標準和規範執行的寫法為:“應按……執行”或“應符合……要求或規定”,非必須按所指定的標準和規範執行的寫法為“可參照……”。
附加說明
本規範主要起草人:同濟大學王季卿






