解决方案设计方案

體育場館擴聲系統語言清晰度的設計

王 強,陳建利,王鐵超

體育場館使用擴聲系統的主要目的是將語言聲音如實擴大,保證觀眾席具有足夠的聲壓級,同時具有良好的語言清晰度。體育場館擴聲系統的設計實質上是語言清晰度的設計,是圍繞以語言清晰度為核心的建聲、電聲及五項技術指標的設計。

一、國內體育場館設計目前狀況不容樂觀。

關鍵問題是設計理念落後,聲學設計規範不明確,體育場不考慮混響時間,未按封閉空間進行聲學設計。

1、設計理念落後

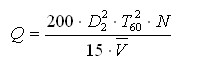
多年來,我們大部分設計者都採用臨界距離Dc設計理念。

臨界距離Dc是指聲場中平均直達聲能密度與平均混響聲能密度相等的點到聲源中心的距離。

一個在實踐中比較實用的Dc公式如下:

體育場館擴聲系統語言清晰度的設計

式中,Q是揚聲器的指向性因子,是場館容積,N是揚聲器數量,T60是建聲混響時間。

Dc越大,語言清晰度越好。但是Dc和語言清晰度定量關係非常模糊。

臨界距離Dc和揚聲器距最遠觀眾席距離是LR/LD=6dB合適還是LR/LD=10dB就能滿足?一般設計者無所依從。

體育場館擴聲系統語言清晰度的設計

圖1 臨界距離與直達聲場、混響聲場的關係圖

2、基於臨界距離理念的聲學設計規範

(1)定性方面要求

a)建聲設計

體育館建聲的一般要求應以保證語言清晰度為主,應把自然聲源、擴聲揚聲器作為主要聲源。

綜合體育館比賽大廳滿場500~1000Hz混響時間

比賽大廳容積(m3) <40000 4000~8000 >80000
混響時間(s) 1.2~1.4 1.3~1.6 1.5~1.9

游泳館比賽廳滿場500~1000Hz混響時間

每座容積(m3/座) ≤25 ≥25
混響時間(s) <2.0 <2.5

b)擴聲設計

擴聲系統應保證比賽大廳有足夠的聲壓級,聲音應清晰,聲場應均勻。

(2)定量方面要求

基於臨界距離的設計理念提出五項聲學特性技術指標,這是對的,但和語言清晰度沒有直觀、緊密關係。客觀出現:

a)語言清晰度僅僅有定性要求,無定量指標。

定量指標中只有混響時間和五項擴聲特性指標要求,和語言清晰度完全脫節。語言清晰度和建聲混響、電聲揚聲器系統之間關係比較模糊。

b)五項擴聲特性指標達標觀眾席也未必聽清楚;並且往往建聲存在問題,一旦建聲出現問題,就變成語言清晰度根本無法解決的情況(涉及土建工程和內裝飾建聲重做)。建聲不達標,語言清晰度是否通過電聲補償,如何補償,來保證清晰度,這方面一無所知

(3)為達到五項技術指標,設計者往往捨本逐末

a)為達到最大聲壓級,設計者往往追求高靈敏度、大功率、數量多的揚聲器,這是其一。

b)為達到寬頻帶,設計者往往增加較多超低頻揚聲器,這是其二。

c)為達到聲場均勻度,揚聲器布放越多越均勻,這是本該和標準沒有必然聯繫的,但由於缺乏語言清晰度的設計理念,為了達到五項擴聲特性指標,必然誘導其在這方面下大功夫。其後果是揚聲器數量越多,尤其在長混響條件下,語言清晰度更差,這是人們始料未及的。

當然,規範的制定者也在力求解決這一問題,也認識到列入影響音質和清晰度的因素,只是時機未成熟,未規定定量的指標。當時規範的電聲特性指標,“是必要的,但不夠充分。”

據知,2008年關於《體育場館的擴聲聲學特性指標》已經申請報批,其中就包含同語言清晰度有定量關係的語言傳遞指數STI的要求。電子三所主編的會議規範也包含定量語言清晰度的STI要求。

3、體育場不考慮屋頂挑台下觀眾席建聲混響,未按封閉空間進行聲學設計也是一個認識誤區。

1991年德國斯圖加特奈卡足球場擴建(容納觀眾70630人,有頂座位18028個,無頂座位17579個,另有站台可容35018個觀眾),由於彎曲的看台屋頂,運動場在空場和滿場時的混響時間分別達到4.7s和2.5s,這是完工後實測結果。因為安裝了380個RH/SR4型揚聲器,均勻度極好,小於2dB。講解的語言清晰度也由此受到相應影響。因此聽眾席不能當作露天來考慮。

因為計算機仿真設計,是依據封閉空間ALcons%理念編程進行的,所以體育場露天部分必須採用一個或n個面進行封閉,封閉區吸聲係數α=1。

上海八萬人體育場於1997年建成,無建聲設計,又不宜採用集中布置。四周看台高70米,“聲音傳播及其複雜,在任何一個位置都可聽到來自四周和屋面的反射回來的延遲時間達1-2s,300米直徑圓形看台,形成多種聲聚焦。採用JBL52組中高音,32組超低音(亦進行計算機計算機仿真設計,未封閉,無語言清晰度STI技術指標)。技術指標達到體育館一級,“在觀眾席較多的賽事中,擴聲語言清晰度良好,放送音樂的音質良好。”

2001年廣州九運會,8萬人體育場無建聲設計,採用EV86隻X-ARRAY揚聲器系統。因為預先進行分散布放現場試驗,出現莫明其妙的混淆不清(梳狀濾波器干擾),語言不清晰,后改為兩組揚聲器陣列,懸挂在主席台兩側,採用大量DSP數字音頻處理器,使用多點調試技術,用了3個多月時間調試,在空場觀眾席就能達到語言清晰,技術指標達到體育館一級。

綜上簡述,追根求源,是語言清晰度設計理念早就發展了,我們的認識跟不上;數字技術揚聲器系統發展了,而未與設計理念相結合。當然國內亦有個別設計院設計者,採用語言清晰度理念進行場館設計,國內亦制定有GB4939-85《廳堂擴聲特性測量方法》中有“漢語清晰度測量方法—打圈法”,GB/T14476-93《客觀評價廳堂語言清晰度的“RASTI”法》出台。

直到2008年奧運會場館技術處周雲峰和中科院沈山豪教授參照國際標準提出體育場館語言清晰度STI>0.5(主要場館最大聲壓級107dB,平時95dB;一般場館最大聲壓級103dB,平時90dB)和一級聲學特性指標的要求。使體育場館設計上達到比較圓滿完善的程度。

二、體育場館擴聲系統的語言清晰度的設計

如何進行體育場館語言清晰度設計,就我們對輔音清晰度損失率百分比ALcons%理念的應用實踐談一下我們的認識。

荷蘭聲學家Peutz歷經十年,於1971年研究出的輔音清晰度損失率百分比ALcons%,是設計、預測廳堂場館語言清晰度的理論依據。

體育場館聲學設計,其實質是語言清晰度設計,是體育場館電聲和建聲設計的核心。體育場館五項聲學技術指標的設計和多種功能應用是圍繞保證語言清晰度的設計基礎的設備選取和優化。

體育場館聲學設計的具體內容,是由一個設計理念和四個設計,以及其他一些輔助設計組成。本文主要闡述體育場館輔音清晰度的設計理念,建聲設計、電聲設計、仿真模型計算機輔助設計(即在設計階段檢驗廳堂聲學設計的語言清晰度和最大聲壓級的設計),以及為達到體育場館五項聲學特性指標所進行的設計和對擴聲系統設備的優化和選取。

1、輔音清晰度的設計理念

輔音清晰度損失率百分比理論是荷蘭聲學家Peutz於1971年在美國聲學雜誌上發表的,其概念是人們講話發聲的母音如a、i、u、e、o,比輔音如b、p、m、f等能量高6dB左右(即4倍),而輔音是比較短促的聲音,一般是20ms左右,母音則為90ms左右,所以,往往會出現因輔音聽不清楚而影響語言清晰度的情況。輔音損失率越小,清晰度越高。

體育場館擴聲系統語言清晰度的設計

體育場館擴聲系統語言清晰度的設計

式中,STI是語言傳輸指數,可評價體育場館的語言清晰度;ALcons%是輔音清晰度損失率百分比;D2是揚聲器至最遠觀眾席距離;T60是體育場館建築聲學混響時間;Q是揚聲器的指向性因子;N是揚聲器數量;是體育場館容積;M是臨界距離修正係數,一般取1,從公式②、③可以得出:

真正實用於建聲和電聲設計的是公式②。公式③是清晰度和輔音清晰度損失率百分比的換算公式,用於測量。由公式②、③可知:

(1)語言清晰度STI越高,ALcons%越小。一般取STI=0.45,即ALcons%=15%為語言清晰度的臨界值;若ALcons%>15%,體育場館語言清晰度將難以保證。2008年北京奧運會場館,要求STI≥0.5,即ALcons%≤11%,是較清晰的語言清晰度。

(2)從輔音清晰度公式ALcons%來看,ALcons%是由建聲、電聲兩個專業進行設計的。建聲的設計理念是:在V不變的情況下,建築聲學T60越小越好;電聲的設計理念是:在揚聲器至觀眾席距離D2不變的情況下,揚聲器數量N越少,揚聲器Q越高,ALcons%越小,語言清晰度STI越高。

因此,電聲和建聲可綜合互補設計。例如,在長混響時間T60(3~5s甚至更高)的環境條件下,可採用高Q值的揚聲器並減少揚聲器的數量N進行補償(比如採用線陣列揚聲器系統)。既使在長混響條件下,仍可保證體育場館語言清晰度,就是最好的例子。

2、體育場館建聲設計

有效混響時間設計理念是前蘇聯人阿·納·卡切洛維奇在上世紀50年代提出的,經歷50~100個電影院系統的實踐,證明是成功的理念。我們也曾在國內多個廳堂場館的實踐中證明了它是先進的設計理念。尤其是適合大空間容積,使用擴聲系統的設計理念,我們在此進行推薦。

體育場館擴聲系統語言清晰度的設計

圖2 有效混響時間示意圖

如圖2所示,T3即體育場館的賽賓混響時間,Tэ為體育場館的有效混響時間。

Tэ=T1+T2

式中,T1是幾何聲學概念,為0.15s;T2同賽賓理念一樣,是統計物理學概念。

對語言清晰度理論的研究表明:

採用有效混響時間的設計,混響曲線初始下降部分∆L越大,語言清晰度越高。

體育場館建聲設計根據有效混響時間理念,我們認為應該是全吸聲、強吸聲、處處吸聲。

關鍵要害是頂棚的吸聲,因為頂棚強吸聲相當於沒有頂棚一樣,不僅混響一下大為降低,而且混響曲線的雙摺線、早/後期聲能比高,有益於提高建聲語言清晰度,而且在揚聲器馬道以下側牆基本上是前三次反射聲,應該予以強吸聲。

對於自然採光的體育館,尤為注意在滿足採光條件下,頂棚必須加大進行強吸聲處理。

法國巴黎聖丹尼斯法蘭西足球場,可容納8萬人,是舉辦1998年法國足球世界盃賽事的主場地,具有頂篷結構。頂篷進行了建聲設計,頂蓬的底部的材料是由泥土、多孔金屬和石棉構成。直達聲比例高,沒有明顯的來自頂蓬和空坐位的反射聲的干擾。採用了2種計算機模擬設計軟件,利用EASE來進行模擬分析,並使用了有虛擬聲場系統的CAD ACOUSTICS。採用了高Q值的揚聲器,總計安裝188隻NEXO/ALPHA音箱,分成36個陣列,均勻地弔掛於重達13000噸的頂蓬下面。每個陣列是由五個音箱組成一串,兩個低音和三個中高音間隔排列。

人民大會堂萬人大會堂,V=93000立方米,1999年改造前T60=2.8秒,仍然由中科院聲學所進行設計。觀眾廳的側牆和頂棚絕大部分表面均為高透過率的金屬穿孔板后覆吸聲材料,外觀基本不變,觀眾廳混響時間大為降低。主席台的側牆和后牆採用大面積金屬穿孔板后覆吸聲材料的做法,降低混響時間,觀眾廳T60=1.59-1.64秒,主席台T60=1.55-1.63秒。

南開大學體育館,根據體育館容積V=90000立方米,依照JGJ/T131-2000《體育館聲學設計及測量規程》南開大學體育館屬於大於80000立方米容積,混響時間應在1.5~1.9秒(滿場500—1000HZ)。聲學是由中國建築設計院進行設計,頂棚採用大面積棋盤式吸聲結構其上鋪設離心玻璃棉;球節點金屬網架以下四周側牆全部採用金屬厚板微穿孔敷設,離牆體50mm,比賽場地為木質,籃球比賽用地板,主席台全部軟椅,觀眾席及活動坐席為硬板塑料椅,玻璃幕牆其上懸挂窗帘,經估側混響時間T60<2秒,滿足設計要求。使用擴聲系統,空場就達到語言清晰。

3、體育場館電聲設計

體育場館的語言清晰度電聲設計,關鍵是揚聲器系統類別的選取和數量的確定,實質上就是選揚聲器。這點尤為重要。國內外名牌揚聲器眾多,設計者應依據公式②輔音清晰度損失率百分比理念,按照體育場館語言清晰度要求STI(換算成ALcons%),在體育場館建聲T60一定,揚聲器數量N盡量少(在保證覆蓋體育場館觀眾席的基礎上)的條件下,求出所需的揚聲器指向性因數Q。

(1)揚聲器指向性因數Q值的大小可用公式②直接算出。比如,若要求體育場館語言清晰度STI≥0.45(即ALcons%≤15%),其Q值的大小可按下式計算:

體育場館擴聲系統語言清晰度的設計

總之,依據清晰度的要求,在建聲、T60一定,電聲D2、N一定時,可求出揚聲器系統的Q值。

在揚聲器數量N和指向性因數Q一定的情況下,可以選取自己需要的品牌。需要注意的是,T60如取指標允許的上限值,Q值一定要留有充分的餘地,取得比較高一些為好。

(2)揚聲器指向性因數Q值的大小,可從產品說明書中選取。但是,多數產品的說明書往往不標註Q值,既使標有,也是某一頻段的平均值。在這種情況下,可以藉助產品說明書中標註的DI指向性指數,因為DI=10lgQ,所以用DI亦可算出Q值。另外,也可通過下式計算

體育場館擴聲系統語言清晰度的設計

式中,α是揚聲器的水平指向性角度,β是揚聲器的垂直指向性角度。

但是,這種計算值往往不準確,僅供估算而已。

(3)真正準確的是計算機仿真設計數據庫中的Q值頻響變化曲線。它是廠家的實驗室測試數據,是搭建仿真模型的依據,因此應該是很準確的。我們關心的是500Hz、1000Hz、2000Hz的指向性因數Q值,因為它們對清晰度影響最大。

一般體育場館的語言擴聲系統,在聲源揚聲器的Q值滿足要求,數量N最少,經計算機仿真設計或計算出來的ALcons%值較小的情況下,就可採用;而容積大、混響時間長的,重要的體育場館,則採用性價比高的線陣列揚聲器比較穩妥。

4、仿真模型計算機輔助設計

(1)仿真模型軟件的作用,實際上就是依據公式②和公式③,利用計算機編程,對體育場館內的電聲和建聲綜合造成的語言清晰度和最大聲壓級進行實時分析。

因為依據理念是正確的,模型結構建造得也比較準確,仿真模型對體育場館的語言清晰度設計是具有很重要的參考價值的。藉助仿真模型的幫助,在圖紙設計階段,就能預測體育場館語言清晰度的優劣。為進一步完善、改進建聲和電聲設計方案提供充分的依據。尤其是在長混響環境下,有純粹理論計算等無法預料其影響的梳狀濾波干擾出現的時候,仿真模型就更是確定、完善方案,預測其語言清晰度的關鍵、必要的一步。

(2)模型應盡量建造得細緻、準確。模型細緻、準確的程度對仿真模型的意義主要表現在對體育場館空間容積和建聲混響時間T60的準確度的影響上。

(3)如果已知建聲設計,就可以根據體育場館空間容積內各立面不同的面積,將吸聲材料布放得比較合理。如只知道要求的混響時間,就只能作一般的布放而已。

(4)揚聲器懸吊的要點在於,一般選在馬道位置上,否則揚聲器的聲場將受到影響。

(5)對於體育場館建聲,一般應取國家標準JGJ/T 131-2000中相應性質場館相應體積所對應的,混響時間的上限,甚至可以在此基礎上留有一定的余量。

原則上,在設計階段,應對建聲取較惡劣的條件,長一些混響時間T60;電聲採用Q值較高,N較少的揚聲器系統。這樣的設計留有充分餘地。建聲做得好,混響時間T60短,清晰度自然能夠符合要求;即使建聲未達標或者超標,因為有電聲的補償,仍能保證體育場館語言清晰度在可接受的範圍內。

(6)仿真模型設計,應該具有:

①T60混響時間曲線,能明確顯示容積的大小及500Hz、1kHz混響時間值的曲線圖;

②體育場館模型結構4D圖、立體圖等,應能使人對體育場館結構體形、揚聲器布置一目了然;

③語言清晰度曲線,應具有500Hz、1KHz、2kHz的STI圖、ALcons%圖;

④最大聲壓級曲線,應具有125Hz、250Hz、500Hz、1kHz、2kHz、4kHz的曲線圖;

⑤通過計算機仿真模型設計得出的,語言清晰度、最大聲壓級、聲場均勻度等技術指標的驗證結論。

淄博體育場整個體育場的建築面積約為70920平方米左右,四周看台共設44100個座席,固定座席40000人,臨時座席4100人。方案設計時,利用EASE4.1設計軟件,對體育場進行封閉空間作圖處理,混響時間按T60=4秒模擬,線陣列集中懸挂擴聲,使其滿足語言清晰度指標。採用34隻PROSO/FL-2揚聲器分為6組,每組8-10隻,覆蓋觀眾席區域;10隻PROSO/FL-2揚聲器為1組,覆蓋比賽場地區域;16隻PROSO/M1.0揚聲器作為挑台下補聲使用;4隻PROSO/FL-12揚聲器作為主席台返送使用。擴聲系統安裝調試后經“山東省電子產品監督檢驗所”檢測,各項指標如下:

指標 測點數 結果
語言傳輸指數 100 平均值0.55
最大聲壓級 109 平均值97dB
聲場不均勻度 343 8dB(1000Hz),10dB(4000Hz)
傳輸頻率特性 109 以250Hz-4000Hz的平均聲壓級為0dB,變化範圍-4~+4dB
傳聲增益 109 250Hz-4000Hz平均-11dB
系統噪聲 不產生明顯可覺察的噪聲干擾

5、為達到體育場館五項聲學特性指標所進行的設計和對擴聲系統設備的優化和選取

五項技術指標的設計,是保證體育場館語言清晰度的必要條件,其實質也是語言清晰度設計。

5.1 最大聲壓級

首先,要明確是在重放而不是擴聲的情況下的測量。第二,只要距揚聲器最遠觀眾席的直達聲壓級符合要求即可。第三,寬頻帶粉紅噪聲的峰值因數一般取6dB。《廳堂擴聲系統設計規範》(GB 50371-2006)將最大聲壓級定義為最大峰值聲壓級的平均值。以峰值因數(1.8~2.2)限制的額定通帶粉紅噪聲為信號源,其最大峰值聲壓級為RMS(有效值)聲壓級的長期平均值,加上20倍的,以10為底峰值因數的對數,即:

體育場館擴聲系統語言清晰度的設計

另外,必須考慮功放至揚聲器之間線路損耗:盡量選取傳輸電阻小,電流容量大的電纜;使功放功率大於揚聲器功率(計入線路電纜損耗)。這樣不僅能保證觀眾席的最大聲壓級,而且可以保障瞬態音質。

5.2 傳輸頻率特性

(1)應盡量選取頻率響應特性曲線平坦的傳聲器、揚聲器組,尤其是揚聲器組,以選取恆指向性頻率響應的為好。

(2)擴聲系統電氣系統特性指標應符合要求。

(3)擴聲系統中,每一支主揚聲器之前都有一組數字音頻處理器DSP與之對應,其中應具有音量、分頻、壓限、均衡、參數均衡、延時、位相等功能模塊可供使用,以便調整揚聲器覆蓋的觀眾席聲場,保證其頻率響應達到要求。

5.3 傳聲增益

保證擴聲系統的穩定性是保證語言清晰度的前提:

(1)傳聲器可選用指向性可變傳聲器,可根據體育場館內的具體情況使用不同的指向方式。

(2)利用自動混音台8入/1出或串聯使用的功能,保證無論有多少路輸入,始終只有一路輸出給調音台。此外,混音台應具有NOM功能,即當有人插話,發言人數增加時,其輸出電平按10lgNOM衰減,從而保證體育場館觀眾席聲壓級基本不變。

(3)選配具有數量可選取的多抑制點的自動反饋抑制器AFS,如2入/2出的DFR-22EQ等,可抑制任何惡劣建聲造成的反饋嘯叫,保證系統穩定。建議將AFS插入調音台編組使用,這樣既可抑制嘯叫,又不影響重放音樂音質。

(4)為了保證系統的穩定性,每路功放都要有C/L(壓/限)功能,能夠進行信號過載保護。

5.4 聲場不均勻度

聲場不均勻度是體育場館觀眾席各點在頻率為1kHz、4kHz時的聲壓級變化。它基本上是對揚聲器系統對觀眾席的覆蓋是否合理的反映,實質上也是對觀眾席語言清晰度的反映。如果觀眾席傳輸頻率特性達標,體育場館的聲場均勻度達標便不成問題。在語言信號傳輸中高通濾波器去除1000Hz以下的頻率成分,語言清晰度仍為93.8%,這是應該明確的。

5.5 系統總噪聲級

①設計中使用數字音頻處理器DSP,其信噪比超過100dB。擴聲系統不可能出現噪聲。

②如果地線連接正確,擴聲系統是不會產生噪聲的。

三、結束語

根據輔音清晰度損失率百分比理念,我們曾在2008年北京奧運會英東遊泳館、壘球場、國家訓練基地,乃至湖南省十運會一場兩館、第十二屆全運會淄博體育場、天津南開大學體育館等數個體育場館工程中進行設計實踐。都取得很好的效果,都得到了用戶的認可和讚許。

總之,體育場館的聲學設計儘管存在着多種理念,但各種理念的目標都是保證體育場館的語言清晰度。我們應該以保證語言清晰度為核心,依據輔音清晰度損失率百分比的設計理念進行設計:正確認識和實施建聲和電聲綜合互補的語言清晰度設計,運用計算機仿真模型模擬和檢驗語言清晰度的設計,利用五項指標來保證體育場館語言清晰度設計的成功(並保證相應的多種功能應用的實現)——這樣的設計才能立於不敗之地。

另外,體育場館語言清晰度設計理念同樣適用於體育場館的聲學技術改造。對那些語言清晰度不達標的體育場館進行電聲補償設計改造,可以獲得令人滿意的效果和清晰度指標,是個經濟實用、事半功倍、值得推行的設計理念。

參考文獻:

1 沈山豪.擴聲技術.中國科技出版社

2 [德國]阿諾特.擴聲技術原理及其應用.王季卿,趙其昌譯

3 [蘇]阿.納.卡切洛維奇,耶.耶.霍穆托夫.電影院聲學與建築學.陳繹勤譯.中國電影出版社

4王季卿.上海八萬人體育場擴聲系統聲學設計.電聲技術.1998.7

5張飛碧.流動演出擴聲系統——周華健世界巡迴演唱會(上海)擴聲系統.電聲技術.2000.10

6陳健俊.法蘭西體育場世界盃音響系統.電聲技術.1999.10

相关的文章