技术交流会议厅堂

噪音的傳播途徑

噪音的傳播途徑可概括為兩大類:空氣傳聲和固體傳聲。

空氣傳聲是指聲源直接激發空氣振動產生的聲波,並通過空氣做為傳聲媒質,例如汽車喇叭聲音、發動機排氣聲、通風機的進、排風噪聲以及各種振動機器表面向空氣中輻射的聲波,當然空氣聲也可以經牆壁、樓板、等建築物構件振動的傳遞,再以空氣聲的形式輻射出去。

固體傳聲是聲源直接激髮結構振動所產生的噪聲,因此也稱結構聲,結構振動以彈性波形式在牆壁、樓板。梁、柱等構件中傳播,同時在傳播途徑中向周圍空氣輻射噪聲,如要牆壁敲擊、樓板上拖動物體、砰擊門窗等,激起固體質振動而輻射的噪音。

但是,實際的傳播途徑是錯綜複雜的,它們往往是兩種聲音的組合,例如安裝在樓板上的機器,動轉的機器產生空氣聲,然後通過牆壁、樓板等構件向相鄰的空間輻射噪音,同時機器動轉時直接激發了樓板的彎曲振動通過鄰近各種構件傳遞,最後輻射出空氣聲,人們所感受到的噪音是兩種噪聲的組合。

(1) 隔聲構件

通過上面的討論我們發現,辯明兩種不同特徵的噪聲將有助於採取不同的隔聲措施,重而密實的構件對隔離空氣聲較果較好,地毯、橡皮、泡沫塑料等對固體隔聲效果很好,若上述兩內構件相反使用,效果就不理想,甚至毫不隔聲效果。下面我們重點了解一下幾種構件的隔聲性能以及在實際工程中要靈活撐握問題。

① 均勻密實的單一構造

為了簡化問題,我們這裡假定構件為無限大,且不考慮構件本身因聲波激振所耗損的能量。於是構件的透射損失在某一頻率聲波激發下,將隨構件闡單位面積重量增加而變大,我們習慣稱它為隔聲的“質量定律”,當聲波正入射於構件時,透射損失的估算率為:

TL=20lgMf-42.2

式中:TL——正入射時構建的透射損失(dB);

M——構建的面密度(kg/m2

實踐中,聲波入射於構件不可能都是正入射,而是無規則入射,我們可以按下列經驗公式近似估算:

TL=14.5lgMf-26

② 雙層複合構件

工較高隔聲量要求的場合,若採用上述單一構件就會使構件十分的笨重,設計時我們把一層構件分成兩層,層與層之間隔一空氣層,只要中間無鋼性連接(聲橋),可望得到雙層件單一隔聲量之和,一般用下式估算其平均隔聲量:

TL=16lg(m1+m2)+8+∆R (當m1+m2>200kg/m2

TL=13.5lg(m1+m2)+14+∆R(當m1+m2≤200kg/m2

式中:m1、m2——雙層符合構建單層面密度(kg/m2

∆R——空氣層附加隔聲量,見表2-5

表2-5 不同牆結構的隔聲量

材料名稱 空氣層厚度(cm) 附加隔聲量∆R(dB)
加氣混凝土雙層牆 10 10
12 11
14 11.8
15 12
18 13
20 13.8
30 16
紙面石膏板雙層牆 10 9
12 10
14 10.5
15 11
18 11.4
20 11.6
30 11.8

上述兩類隔聲構件,在使用時有兩個直接影響隔聲效果的因素不可忽略:(a)吻合效應,應盡量高設法使之不出現在聲頻的重要頻段;(b)雙層複合結構杜絕(聲橋),否則會使隔聲量大大降低。

③ 雙層內填吸聲材料構件

這種構件通常用於荷載要輕,隔音量要大的場合,為了提高隔音量,我們在雙層輕板空腔內填放纖維素性吸聲材料,消除空腔中地聲壓,隔聲量在全頻帶範圍內有顯巨提高。

(2) 固體隔聲材料與做法

固體聲是通過樓板、牆或地基傳播開去的,隔聲措施也必須有基其針對性:(a)設法減弱可能被撞擊面的撞擊能量,採用彈性材料做面層,如樓面鋪設橡膠墊、地毯;(b)在受撞擊面層與結構基層之間加一彈性墊層,使撞擊面層產生的振動只有很小部分傳到基層;(c)樓板下面設置彈性吊頂,減弱基層樓板振動時向下輻射的聲能;(d)採用不連續結構,切斷傳聲途徑;(e)結構與設備管道穿過接解部位均採用軟性材料嵌實。

(3) 隔聲設計

設計時只要掌握下列公式便可解定方案:

TL=LP1-LP2-10lgA/S

式中:TL——需要構建的隔聲量(dB)

LP1、LP2——分別表示室外噪聲級和室內允許噪聲級(dB)

S——隔聲構建透聲面積(m2

A——需要設計房間吸聲量(m2

根據上述計算結果,選擇合適的隔聲構件(如隔聲牆體、隔聲門、窗等)

(4) 隔振

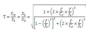
利用彈性材料減少設備振動傳播的措施叫隔振。機理就是利用彈性支撐使一振動系統降低其對外干擾的能力。在穩定狀態下,隔振能力用傳遞比的倒數表示。單自由度隔振系統的傳遞比T為:

噪音的傳播途徑

式中:Fr0——通過彈性支撐傳遞給基礎的傳遞力幅值;

F0——物體本身驅動力(激振力)幅值;

X0——彈性支撐上物體的振幅;

U0——基礎本身的振幅;

C/CC——阻尼比(阻尼係數/臨街阻尼係數);

f/f0——頻率比;

f——機器設備的驅動頻率(Hz);

f0——隔振系統的固有頻率(Hz)。

① 不論阻尼比多大僅當頻率小於√2 時,傳遞比才會小於1,因此彈性支撐固有頻率的選擇必須滿足頻率比大於√2和條件。

② 當頻率比大於√2時,隨着頻率比不斷增大,傳遞比也越來越越小,但頻率比過大,要有很大的靜態壓縮量,而且機器設備的穩定性也較差,容易產生動搖;當頻率比≧5后,傳遞比的變化很小,不能指望隔振效果再有顯著改善,所以適用的頻率比常在2~4之間。

③ 當無阻尼時,即C/CC=0,

T=1/[1-(f/f0)2]

④ 隔振效率

η=(1-T)*100%

積極隔振現消極隔振:

對產生振動系統的振動源進行隔振處理以減少其對外的影響叫做積極隔振,如對機器設備的基礎隔振。消極隔振指當儀器或設備受到外界振動干擾時用隔振方法對其底座採取措施了減少振動的干擾。使儀器設備與振動源隔離的彈性支撐叫隔振器,常用的隔振器和隔離材料有:金屬彈簧隔振器;橡膠隔振器、墊;空氣彈簧隔振器;玻璃纖維板、軟木、毛氈等,為使讀者在選隔振器時有個基本依據,特將隔振器材的選擇原則推薦於後,見表2-6

表2-6 隔振器材選擇準則

項目名稱 螺旋彈簧 橡膠隔振器 空氣彈簧 海面橡膠 毛氈 軟木
振動系統能選擇的固有頻率 2~10 0~5 2~5 25~50 25~30
多方向使用性
簡便性
阻尼性能 X X
高頻振動隔離性能與防噪聲效果 X
載荷特性的直線性 X X X
耐高、低溫性能
耐油性 X
耐老化性 X
產品質量均勻性 X
耐熱膨脹
耐鬆弛
價格 便宜 便宜
重量
與計算特性值的一致性 X X X
設計上的難易程度 X
安裝上的難易程度 X
使用壽命 X

▲優  ○ 良  △中 X差

(5) 消聲在設計演播室、錄音室時,必須考慮空調系統,否則特別是在寒冷的冬天和炎熱的夏天,將無法工作。我們前面以經指出,噪聲可以通過固體傳播,也可以通過空氣傳播,“無孔不入”。因此,我們如果在設計空調系統時,只要注意到呼吸、隔聲、隔振,而忽略了消音,則是一大失誤。

消聲器是阻礙噪聲傳播而允許汽流通過的設備,在管道裝置各種形式的消聲器是降低沿管道傳播噪聲的主要方法。

消聲器的種類繁多,要視哭噪聲的特性進行設計。消聲器主要有以下兩種:阻性消音器是是利用吸聲材料的。把吸聲材料固定在氣流流動的管道內壁,或按一定的方式在管道中排列起來,就構成了阻性消聲器。這種消聲器能在這較寬的中高頻範圍內消聲,特別是對刺耳的高頻噪音有突出的消聲作用。

抗性消聲器並不能直接吸收聲能,而是藉助管道截面的突然擴張或收縮或旁接共振腔,使沉管道傳播的噪聲在突變向聲源反射回去或不通過消聲器,從而達到消音的目地,這種消音器具有良好的中低頻消地性能,構造簡單。

技術人員在進行消聲設計時,常綜合採用阻、抗性消聲器,發便在一個較寬的頻率範圍內做到良好的消聲較果。設計安裝消聲器時,對風道氣流速的限制,一般大於8m/s。安裝位置要與噪聲源隔開。

(6) 擴散

為了使室內場中聲能密度分佈均勻,聲音在室內應該有良好的擴散,否則較難解決安放傳聲器的最佳位置。

我們坐在電影院、劇場里可以看到,牆壁凹凸不平,實際是主要是凸面,因為凸面有助於聲音的擴散(而凹面會使聲音會聚,所以應當盡量避免)。為了達到良好的擴散,必須做到:

① 房間形狀最好避免有平行表面,特別是面積較小的錄音室更應如此;

② 牆面和天花板可做成不規則形狀,並要避免凹面;

③ 安裝凸面結構,例如圓柱形吸聲結構;

④ 不對稱的布置吸聲材料和吸聲結構。

隔音

相关的文章