近年来,随着科学的不断发展,超材料成为一项热门研究课题,在声学领域的应用范围也更加广泛。那么,什么是超材料?超材料在各项研究中的作用是什么呢?

简而言之,超材料是指一类具有天然材料所不具备性能的人工复合材料,能够实现自然界中未知特性的材料和结构的组合。
超材料结构通常以重复的模式进行排列,其奇特性质源于精密的几何结构以及尺寸大小。其尺度小于它们所影响的现象的波长。可以说超材料的性能不由其组成的基本材料的性能所决定,而是取决于它们被设计成的结构。

例如,涂敷在物体表面的结构化材料可以使光沿锐角折射,从而有效地隐藏该表面下的其他物体,使其在某些波长的光下隐身。
同样,合理的结构化材料也可以用来降低声波探测距离和精度形成声隐身现象。这种材料,我们称之为声学超材料。
声学超材料
声学超材料与电磁(包括光)超材料类似,是人工制造具有负等效质量密度和负等效模量的人工亚波长的一种复合结构。
由于它结构尺寸单元远小于声波波长,具有很多自然材料所不具备的特殊性质,极大地扩展了声学材料的作用及其应用领域。
它能够实现声波的负折射,声聚焦,超透镜,隐身等许多新奇特性。

声学超材料的种类繁多,我大概罗列出以下几种:
- 负等效质量密度超材料;
- 局域共振型超材料;
- 薄膜型超材料;
- 负等效模量密度超材料;
- 双负超材料;
- 声隐身超材料;
今天主要为大家详细讲解一下什么是负等效质量密度超材料?以及如何实现负等效质量密度的局域共振型超材料和薄膜型超材料。

负等效质量密度超材料
负等效质量密度是指等效质量密度出现负响应的一种动态现象。比方说质量和密度是物质的基本属性。
在常规材料中,通常以静态质量密度为主,为正值,这跟材料的质量和体积有关。当受到声波的作用时,声学超材料中的质量单元就会发生振动,此时我们需要关心声学超材料的动态质量密度。
在声波的作用下,超材料质量单元的运动规律符合牛顿第二定律 F=ma , 在大部分情况下,质量单元的加速度方向与声波施加的作用力方向相同时,声学超材料产生正响应, 等效质量密度为正值。
但在某些合适的条件下,质量单元的加速度方向与声波施加的作用力方向相反。等效质量密度为负值,即超材料出现负响应。而具备负响应的材料,我们称之为负等效质量密度超材料。

为了分析等效负质量密度的产生,需从一维二组元结构进行讨论,如下图所示。
其中组元1为质量为m的质量块,组元2为质量为M的基体,组元1和2靠弹簧连接。

当该系统处于静态时,该结构的等效质量密度为

其中,D1和D2分别代表组元1和组元2的静态质量密度,f为组元1占整体的比例。
当该系统在外部激励的作用下,若组元1和2仍然能够保持一致运动,那么它的等效质量密度等于静态质量密度。然而,当组元1和2运动步调不能保持一致,甚至相反,它的等效质量密度将发生变化,就有可能出现负值。
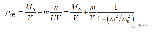
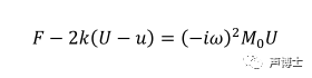
在频率为ω外力F的作用下,组元1的位移为u,组元2的运动位移为U。
通过计算可以得到其等效质量密度为:

其中V为单元总体积,ω0=2k/m
从上述方程可以看出,当ω大于ω0时,即有可能出现负等效质量密度。

通过对一维二组元结构的分析,可以看出,等效负质量密度在质量块和基体运动失谐条件下就可能实现。

局域共振型超材料
负等效质量密度超材料也可以通过引入局部共振单元,在低频处实现负等效质量密度。
将用硅橡胶包裹的铅块,按立方晶格结构嵌入到环氧树脂的基体中,此时铅块充当质量块,硅橡胶起到弹簧的作用,环氧树脂作为基体。

在低频处,就会出现铅块和基体运动失谐的情况,产生了负等效质量密度,同时由于铅块运动能吸收声波所传递的能量而在低频处产生禁带。

薄膜型声学超材料
另外,也有学者实现了薄膜型负等效质量密度超材料。它是由能产生局部共振的结构单元周期性排列构成的,存在特殊的色散关系,即带隙,在带隙频率范围内会有很好的隔音效果。
比如当声波垂直于薄膜平面入射时,只要入射频率和质量块在薄膜上的共振频率相匹配,就能够使得声波被完全反射,而不能透过。
因此可以通过调整质量块和薄膜的弹性模量,就可以调整等效负质量密度出现的频率,实现对某个较窄频段声波的衰减。

近些年来,国内研究人员对超材料的不断研究及完善,超材料也逐渐应用到了现实生活当中。
声学超材料的应用
无论局域共振型还是薄膜型超材料都是利用偶极共振原理,使超材料的共振频率和声波频率相匹配实现负等效质量密度,达到降低噪声的目的。
一、减振的应用
在工程结构领域中,主要通过局域共振结构,将实际工程中常见的杆、梁、板等结构视为基体结构,将振子结构周期性分布在这些基体结构上形成局域共振型杆、梁、板结构,通过其中的局域共振带隙来调控基体结构中振动波的传输,最终达到工程结构减振的目的。

其中,局域共振结构与传统工程领域的分布式动力吸振器结构具有一定相似度,如将多个吸振器置于建筑结构(如下图M所示)之上。
不同的是局域共振型结构中的动力吸振器是周期性分布于基础结构上,而分布式动力吸振器并没有位置的限制,甚至每个动力吸振器的参数都不相同。

而在建筑空间领域中,主要是通过采用短冲程超强记忆金属缓振弹簧,加EPDM阻尼减振胶块,制成双材质特性宽频减振结构。
主要应用于酒吧、设备机房等场景,将地面构成“浮筑地板”,用来剪切振动辐射对原始基础层的影响,从而改善楼层隔绝低频振动及撞击声性能。

二、隔声的应用
在低频噪声领域中,由于低频噪声声波较长、传播距离远、衰落弱等特点,对其有效控制一直是噪声控制领域有挑战性的难题。
薄膜型声学超材料的出现,弥补了传统的线性隔声材料应对低频噪声问题上的缺陷,表现出了良好的低频降噪性能。

它主要组合应用在汽车前围板上,以达到提高传统钢前围板的低频隔声性能,使隔声频率范围变宽,最大程度上解决汽车低频噪声问题。

目前,现有的研究已经提出了各式各样实现等效质量密度在动态情况下为负的方法,大多处于理论研究阶段,对实际应用还存在一定的困难。






