聲屏障是降低地面運輸噪聲的有效措施之一。一般3~6m高的聲屏障,其聲影區內降噪效果在5~12dB之間。
1 聲學原理
當噪聲源發出的聲波遇到聲屏障時,它將沿着三條路徑傳播(見圖1.a):一部分越過聲屏障頂端繞射到達受聲點;一部分穿透聲屏障到達受聲點;一部分在聲屏障壁面上產生反射。聲屏障的插入損失主要取決於聲源發出的聲波沿這三條路徑傳播的聲能分配。
1.1 繞射
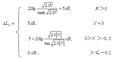
越過聲屏障頂端繞射到達受聲點的聲能比沒有屏障時的直達聲能小。直達聲與繞射聲的聲級之差,稱之為繞射聲衰減,其值用符號△Ld表示,並隨着Φ角的增大而增大(見圖1.b)。聲屏障的繞射聲衰減是聲源、受聲點與聲屏障三者幾何關係和頻率的函數,它是決定聲屏障插入損失的主要物理量。

圖1 聲屏障繞射、反射路徑圖
1.2 透射
聲源發出的聲波透過聲屏障傳播到受聲點的現象。穿透聲屏障的聲能量取決於聲屏障的面密度、入射角及聲波的頻率。聲屏障隔聲的能力用傳聲損失TL來評價。TL大,透射的聲能小;TL小,則透射的聲能大,透射的聲能可能減少聲屏障的插入損失,透射引起的插入損失的降低量稱為透射聲修正量。用符號ΔLt表示。通常在聲學設計時,要求TL—△Ld≥10dB,此時透射的聲能可以忽略不計,即△Lt≈0。
1.3 反射
當道路兩側均建有聲屏障,且聲屏障平行時,聲波將在聲屏障間多次反射,並越過聲屏障頂端繞射到受聲點,它將會降低聲屏障的插入損失(見圖1.c),由反射聲波引起的插入損失的降低量稱之為反射聲修正量,用符號△Lr表示。
為減小反射聲,一般在聲屏障靠道路一側附加吸聲結構。反射聲能的大小取決於吸聲結構的吸聲係數α,它是頻率的函數,為評價聲屏障吸聲結構的整體吸聲效果,通常採用降噪係數NRC。
2 聲屏障插入損失計算
2.1 繞射聲衰減△Ld的計算
2.1.1 點聲源
當線聲源的長度遠遠小於聲源至受聲點的距離時(聲源至受聲點的距離大於線聲源長度的3倍),可以看成點聲源,對一無限長聲屏障,點聲源的繞射聲衰減為:
(5)
N—菲涅耳數 λ—聲波波長,m d—聲源與受聲點間的直線距離,m A—聲源至聲屏障頂端的距離,m B—受聲點至聲屏障頂端的距離,m
若聲源與受聲點的連線和聲屏障法線之間有一角度β時,則菲涅耳數應為
N(β)=Ncosβ
工程設計中,△Ld可從圖2求得

圖2 聲屏障的繞射聲衰減曲線
2.1.2 無限長線聲源,無限長聲屏障
當聲源為一無限長不相干線聲源時,其繞射聲衰減為:
(6)
式中:f— 聲波頻率,Hz δ= A+B-d為聲程差,m c—聲速,m/s
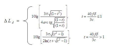
2.1.3 無限長線聲源及有限長聲屏障
△Ld仍由公式(6)計算。然後根據圖3進行修正。修正後的△Ld取決於遮蔽角β/θ。圖3(a)中虛線表示:無限長屏障聲衰減為8.5dB,若有限長聲屏障對應的遮蔽角百分率為92%,則有限長聲屏障的聲衰減為6.6dB。

圖3 有限長度的聲屏障及線聲源的修正圖
2.2 透射聲修正量△Lt的計算
透射聲修正量△Lt由下列公式計算:
(7)
2.3 反射聲修正量△Lr的計算
反射聲修正量取決於聲屏障、受聲點及聲源的高度,兩個平行聲屏障之間的距離,受聲點至聲屏障及道路的距離以及靠道路內側聲屏障吸聲結構的降噪係數NRC,具體步驟見規範性附錄A。4.2.4 障礙物聲衰減的確定
如果在聲屏障修建前,聲源和受聲點間存在其他屏障或障礙物,則可能產生一定的繞射聲衰減,由它們產生的聲衰減稱之為障礙物聲衰減,用符號△LS表示。△LS由2.1,2.2和2.3來確定。
2.5 地面吸收聲衰減的確定
如果地面不是剛性的,則會對傳播過程中的聲波產生一定的吸收,從而會使聲波產生一定的衰減。由地面吸收產生的聲衰減稱之為地面吸收聲衰減,用符號△LG表示。

圖4 地面吸收聲衰減
2.5.1 地面吸收聲衰減△LG通常應由現場測量得到。具體測量方法是:在地面上方1.5m和6—7.5m高處設兩個測點,同時測量現場有聲源的倍頻帶(中心頻率250—2000Hz)或1/3倍頻帶(中心頻率200—2500Hz)的頻帶聲壓級或A計權聲級。兩測點聲壓級或A聲級之差即為△LG。若現場聲源不存在(如未建道路),則可採用人工聲源,但必須測量倍頻帶或1/3倍頻帶聲壓級,以便對未來聲源的A計權△LG進行計算。
2.5.2 若現場測量有困難,可由圖4來確定。
圖4中的等效距離DE由下列公式計算:
(8)
DN—受聲點至最近的車道中心線距離,m DF—受聲點至最遠的車道中心線距離,m
一般,在DE=55m時,△LG為2.5dBA, 在DE=150m時,△LG為5dBA。考慮到其它障礙物和地面聲吸收的影響,聲屏障實際插入損失為
(9)
max表示取△LS和△LG中的最大者,這是因為一般兩者不會同時存在。如果有其他屏障或障礙物存在,地面效應△LG會被破壞掉,因為只有貼近地面,地面聲吸收的衰減才會明顯。式(9)中減去(△LS, △LG)max,是因為一旦設計的聲屏障建成,原有屏障或障礙物或地面聲吸收效應都會失去作用。
3 聲源特性
3.1 時間特性
交通噪聲是隨時間起伏的聲源。在本規範中,採用等效聲壓級或等效A聲級表示時間平均特性。
3.2 頻率特性
交通噪聲的頻率特性在聲屏障設計中是最重要的參數之一。應通過噪聲測量,得到聲源的倍頻帶(中心頻率63—4000Hz)或1/3倍頻帶(中心頻率50—5000Hz)的頻譜。為簡化計算,亦可採用聲源的等效頻率。
4 聲屏障設計程序
4.1 確定聲屏障設計目標值
4.1.1 噪聲保護對象的確定
根據聲環境評價的要求,確定噪聲防護對象,它可以是一個區域,也可以是一個或一群建築物。
4.1.2 代表性受聲點的確定
代表性受聲點通常選擇噪聲最嚴重的敏感點,它根據道路路段與防護對象相對的位置以及地形地貌來確定,它可以是一個點,或者是一組點。通常,代表性受聲點處插入損失能滿足要求,則該區域的插入損失亦能滿足要求。
4.1.3 聲屏障建造前背景噪聲值的確定
對現有道路,代表性受聲點的背景噪聲值可由現場實測得到。若現場測量不能將背景噪聲值和交通噪聲區分開,則可測量現場的環境噪聲值(它包括交通噪聲和背景噪聲),然後減去交通噪聲值得到。交通噪聲值可由現場直接測量。若現場不能直接測量交通噪聲,則交通噪聲可根據車流量、車輛類型及比例等參數,按照HJ/T2.4—95的附錄B計算得到。對還未建成或未通車的道路,背景噪聲可直接測得。
4.1.4 聲屏障設計目標值的確定
聲屏障設計目標值的確定與受聲點處的道路交通噪聲值(實測或予測的)、受聲點的背景噪聲值以及環境噪聲標準值的大小有關。
如果受聲點的背景噪聲值等於或低於功能區的環境噪聲標準值時,則設計目標值可以由道路交通噪聲值(實測或預測的)減去環境噪聲標準值來確定。
當採用聲屏障技術不能達到環境噪聲標準或背景噪聲值時,設計目標值也可在考慮其它降噪措施的同時(如建築物隔聲),根據實際情況確定。
4.2 位置的確定
根據道路與防護對象之間的相對位置、周圍的地形地貌,應選擇最佳的聲屏障設置位置。選擇的原則或是聲屏障靠近聲源,或者靠近受聲點,或者可利用的土坡、堤壩等障礙物等,力求以較少的工程量達到設計目標所需的聲衰減。由於聲屏障通常設置在道路兩旁,而這些區域的地下通常埋有大量管線,故應該作詳細勘察,避免造成破壞。
4.3 幾何尺寸的確定
根據設計目標值,可以確定幾組聲屏障的長與高,形成多個組合方案,計算每個方案的插入損失,保留達到設計目標值的方案,並進行比選,選擇最優方案。
4.4 聲屏障繞射聲衰減△Ld的計算
4.4.1 根據選定的聲屏障位置和屏障的高度,確定聲程差δ,然後根據聲源類型(點源或線源),按公式(5)或(6)計算各個頻帶的繞射聲衰減L‘di,或根據圖2曲線|得到。
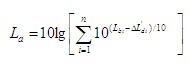
4.4.2 根據聲源頻譜特性和聲源類型(點聲源或線聲源),按公式(10)計算沒有聲屏障時受聲點的頻帶聲壓級Lbi,減去屏障建造后各頻帶的繞射聲衰減L‘di,然後按照公式(11)將各頻帶的差值求和,則得到聲屏障繞射后受聲點的聲壓級La:
(10)
式中Loi為距聲源ro處聲源第i個頻帶聲壓級,通常由測量得到,r為聲源到受聲點的距離
(11)
4.4.3 按上述方法得到的聲屏障建造前後受聲點的聲壓級之差,即為聲屏障繞射聲衰減△L′d
(12)
式中,為屏障建立前受聲點的總聲壓級。
4.4.4 根據A計權頻帶修正值Ai,可以計算A計權的聲屏障繞射聲衰減△Ld:
(13)
4.4.5 聲屏障的A計權繞射聲衰減亦可用等效頻率fe求得。通常道路交通噪聲的等效頻率fe=500Hz,按公式(5)或(6)計算,則得到近似的聲屏障A計權的繞射聲衰減△Ld。
4.4.6 聲屏障的A計權繞射聲衰減,也可通過圖5來求得,圖中假設聲屏障是無限長的。4.4.4.7 若線聲源和聲屏障長度有限,則可根據2.1.3進行修正
4.4.5 聲屏障的隔聲要求
4.5.1 合理選擇與設計聲屏障的材料及厚度,若聲屏障的傳聲損失TL-△Ld>10dB,此時可忽略透射聲影響,即△Lt≈0。一般TL取20~30dB。
4.5.2 若TL—△Ld<10dB,則可按照4.2.2節的公式(7)計算透射聲修正量△Lt。

圖5 不相干線聲源A計權聲屏障繞射聲衰減
4.4.6 道路聲屏障吸聲結構的設計
4.6.1 當雙側安裝聲屏障時,應在朝聲源一側安裝吸聲結構;當道路聲屏障僅為一側安裝,則可以不考慮吸聲結構
4.6.2 吸聲型聲屏障的反射聲修正量△Lr值取決於平行聲屏障之間的距離、聲屏障的高度、受聲點距聲屏障的水平距離、聲屏障吸聲結構的降噪係數以及聲源與受聲點的高度。
4.6.3 吸聲結構的降噪係數NRC應大於0.5。
4.6.4 根據4.4.6.2所述的各參數的實際尺寸,按照規範性附錄A求得反射聲修正量△Lr。
4.6.5 吸聲結構的吸聲性能不應受到戶外惡劣氣候環境的影響。
4.7 聲屏障形狀的選擇
4.7.1 聲屏障的幾何形狀主要包括直立型、折板型、彎曲型、半封閉或全封閉型。
4.7.2 聲屏障的選擇主要依據插入損失和現場的條件決定。對於非直立型聲屏障,其等效高度等於聲源至聲屏障頂端連線與直立部分延長線的交點的高度。如圖6所示。

圖6 聲屏障等效高度示意圖
4.4.8 聲屏障插入損失的確定聲屏障的插入損失在計算了各項修正後,按公式(9)計算得到。
4.4.9 聲屏障設計的調整
若設計得到的插入損失IL達不到降噪的設計目標值,則需要調整聲屏障的高度、長度或聲屏障與聲源或受聲點的距離,或者調整降噪係數NRC。經反覆調整計算直至達到設計目標值。
4.5 地形、地貌的影響
地坡、山丘、堤岸等對聲傳播都有影響。可以藉助它們起到聲屏障的作用。或者充分利用它們替代部分聲屏障,以節省修建道路聲屏障的費用,若聲屏障建造在這些障礙物上,則聲屏障的高度需加上障礙物的高度。
4.6 聲屏障設計的其它要求
聲屏障設計在滿足聲學性能要求的同時,其結構力學性能、材料物理性能、安全性能和景觀效果,均應符合相應的現行國家標準的規定和要求。






